Final Report
BUD: A Buffer-Disk Architecture for Energy Conservation in Parallel Disk Systems
Download BUD Annual Report PDF
Findings
A focus of the research activities carried out in the last year is the design of an energy efficient parallel disk architecture for inter-request parallelisms.
The architecture consists of four major components: a RAM buffer, m buffer disks, n data disks, and an energy-aware buffer-disk controller. The new BUD disk architecture is diagramed below [Zong et al., 2007]:

The RAM buffer with a size ranging from several megabytes to gigabytes is residing in the main memory. The buffer-disk controller carefully coordinates energy-related reliability model, data partitioning, disk request processing, data movement/placement strategies, power management, and prefetching schemes. Please refer to Section 3 for details of how the controller will be designed and developed. We choose to use log disks as buffer disks, because data can be written onto the log disks in a sequential manner to improve performance of disk systems. It is to be noted that in most cases, the number of buffer disks m is smaller than the number of data disks n, and values of m and n are independent of one another for workloads with inter-request parallelisms.
We introduced a model to calculating energy consumption for disk drives in a parallel disk system. [Zong et al., 2007a] The basic power model for this study is a summation of all power states multiplied by the time each power state was active. The states used are start-up, idle, and read/write/seek. Read, write and seek are put together, because they share similar power consumption. Let Ttr be the time required to enter and exit the inactive state. The power consumption of a disk when entering and exiting the inactive state is Ptr. Thus, energy Etr consumed by the disk when it enters and exits the inactive state is expressed as PtrTtr. Similarly, let Tactive and Tidle are the time intervals when the disk is in the active and inactive states, respectively. We denote the energy consumption rates of the disk when it is active and inactive by Pactive and Pidle, respectively. Hence, the energy dissipation Eactive of the disk when it is in the active state can be written as , and the energy Eidle of the disk when it is sitting idle can be expressed as PidleTidle. The total energy consumed by the disk system can be calculated as

Let Tai and Tia denote times a disk spends in entering and exiting the inactive state, Pai and Pia are the power consumption rates when the disk enters the inactive and active states. Let Nai and Nia be the number of times the disk enters and exits the inactive state. Then, the transition time Ttr and power Ptr can be computed as follows

In most cases where the values of Nai and Nia are both equal to Ntr, Ttr can be written avs

The time interval Tactive when the disk is in active state is the sum of serving times of disk requests submitted to the disk system.

where n is the total number of submitted disk requests, and Tservice(i) is the serving time of the ith disk request. Tservice(i) can be modeled as

where Tseek is the amount of time spent seeking the desired cylinder, Trot is the rotational delay and Ttrans is the amount of time spent actually reading from or writing to the disk. Now we quantify energy saved by power management policies as below

[Zong et al., 2007a] Write requests can be divided into small write requests and large write requests. Whenever the controller receives a write request, it will first check the size. If the request is a large write, say over 10MB or more, it is sent directly to the corresponding data disk. Otherwise, the controller will send this request to the RAM buffer that buffers small writes from the host and form a log of data to be written into one of the buffer disks later. Once the data are transferred to the RAM buffer, the controller will send a “write complete” acknowledgement message to the sender. Then the controller will test the state of all the buffer disks. If one buffer disk is not busy with writing a previous log or reading or transferring data, the data copy will be sent to this buffer disk to ensure that a reliable copy resides on one of the buffer disks. In order to guarantee the correctness and consistency of different data version, the controller is always trying to match the data with same block to the same buffer disk unless it is known that the data block is already outdated. In other words, operations which could write the same block data into different buffer disks is forbidden if one legal copy of this block still exists in any buffer disk. The most important scheduling strategy between RAM buffer and buffer disk is that rather than wait until the RAM is full, the data are written into the buffer disks whenever they are available. This policy has two major advantages. First, data re guaranteed to be written into one of the reliable buffer disks in the shortest time period, which is very important to ensure the reliability and availability of data. Second, the RAM buffer can have more available room to buffer a large burst of new requests because previous data are always quickly moved from the RAM to the buffer disks. Here we should note that the total storage space of each buffer disk is divided into equal n parts (n is the number of data disks) which are used to buffer the data requests corresponding to each data disk. For example, if we have two 10GB buffer disks and ten 100GB data disks, each buffer disk will have 1GB as the buffer space for each data disk. All the small write requests to data disk 1 will be buffered in the corresponding buffer space reserved for disk 1. The reason we split the buffer disks into small pieces for each data disk is to improve the response performance of the whole system. In the case when one buffer disk is busy writing or moving data, the other disk could serve the incoming requests immediately. [Back to Top]
Handling read operations is kind of simple and straightforward in the BUD framework. When a read request arrives, the controller first searches the RAM buffer. If the data is still in the RAM buffer then the data is immediately sent back to the requester. Otherwise, the controller will do a seek operation in the buffer disks. If the required data can not be found in the buffer disks, a miss message will be sent back to controller and the controller will send a read request to the corresponding data disk and finally the data will be transferred to the requester by the data disk. Using this policy, the read performance should be similar to or sometimes better than that of traditional disk because most of the requests will be sent to the data disk and reading from RAM or buffer disks seldom occurs in real applications.
Our preliminary results consist of first developing a simulator which meets all project specifications and running this simulator with a trace to get some preliminary results [Zong et al., 2007b]. So far the simulator completed all the main functions that are necessary in order to model our distributed system. That is the program takes data from a trace. Then the program moves data to appropriate virtual disks that use disksim to derive there timing information. These virtual disks use a simple model to calculate total energy. Finally, both timing and energy data are reported to the user in the form of the two respective totals. Our results from the simulator consist of two parallel disk systems. To simulate with these two systems we used a simple trace that came with disksim. The first system that was simulated was a simple disk system which is used today by many storage systems. It is basically a RAID 1 system consisting of 31 disks. This is basically a baseline system in which to compare our results. The second simulated disk system is similar to section 3 with 6 buffer disks each one acting as a buffer for a group of approximately 5 disks.
The results from running these systems showed that both took 25.55 min. Table below shows the energy consumption of the disk system without employing buffer disks and the disk system using buffer disks to conserve energy. Specifically, the traditional system without buffer disks consumed 189279.78 J (0.05 KWH) with all disks starting from off and being turned on when needed. In contrast, the parallel disk system with buffer disks only used 117345.99 J (0.03 KWH), which is substantially less. This resulted in overall power savings of 38%. Our results have shown substantial gains can be made by using buffer disks for very specific workload conditions. In order to further develop our storage algorithm we need to test our results in many more simulations and with more varied workloads. The simulator also needs to check with analytic calculations and the code needs to include the transition time and power from switching from mode to mode.
| Simulated Disk System | Energy Consumption |
| Disk system without buffer disks | 189279.78 J |
| Disk system with buffer disks | 117345.99 J |
| Energy saving | 71933.79 J |
| Energy consumption reduced by | 38% |
[Zong et al., 2007c] High performance data grids are increasingly becoming popular platforms to support data-intensive applications. Reducing high energy consumption caused by data grids is a challenging issue. Most previous studies in grid computing focused on performance and reliability without taking energy conservation into account. As such, designing energy-efficient data grid systems became highly desirable. In this project, we proposed a framework to simulate energy-efficient data grids. We presented an approach to integrate energy-aware allocation strategies into energy-efficient data grids. Our framework aims at simulating a data grid that can conserve energy for data-intensive applications running on data grids. [Back to Top]

A data grid can be envisioned as a complicated distributed system, which consists of the following four major layers: application layer, middleware layer, resource layer and network layer. Fig. 1 depicts the four layers and their relations for data grids. It is worth noting that the simulation framework is constructed in accordance with the system architecture outlined as follows:
Data grids are complex multivariate environments, which are made up of numerous grid entities that need to be automatically managed. In order to make coherent and coordinated use of ubiquitous and heterogeneous data and storage resources, resource management is a centerpiece in the simulation framework. In this section, we present a framework to simulate data grids that are energy efficient in nature. In general, a data grid should energy efficiently handle two important components in the system: storage resources and data-intensive jobs. A data grid has to ad-dress the following issues. First, it is of paramount impor-tance to find available storage resources within a short pe-riod of time. Second, it must allocate data-intensive jobs to available resources. We proposed a simulation framework for data grids:

In this framework, the global level scheduler (or grid level scheduler) coordinates mul-tiple local scheduling or helps to select the most appropri-ate resources for a job among different possible resources. Typically, a global level scheduler itself has no direct control over computing and storage resources. Therefore, the global level scheduler has to communicate with and appropriately trigger several local level schedulers to complete data-intensive tasks submitted by users. Those local level schedulers either control resources directly or have certain access to their local resources. The global level scheduler is also responsible for collaborating with other important supportive middleware like information services, communication services, and reliability control modules.
[Zong et al., 2007c] As long as the grid scheduling module collected all the information of currently available computing and storage resources, it can judiciously choose target recourses based on its scheduling policy and allocate the tasks analyzed by the task analyzer to these chosen resources for parallel execution. We designed the job scheduling flow in the simulation framework:

During the process of execution, the results collector will periodically check the randomly returned sub results and transfer these sub results to Grid level scheduler. The scheduler in the framework passes the latest information to all tasks, which can guarantee that the tasks with dependency could immediately be executed once they get the necessary sub results. [Back to Top]
[Ruan et al., 2007] In the past decade cluster computing platforms have been widely applied to support a variety of scientific and commercial applications, many of which are parallel in nature. However, scheduling parallel applications on large scale clusters is technically challenging due to significant communication latencies and high energy consumption. As such, shortening schedule length and conserving energy consumption are two major concerns in designing economical and environmentally friendly clusters. In this study, we proposed an energy-efficient scheduling algorithm (TADVS) using the dynamic voltage scaling technique to provide significant energy savings for clusters. The TADVS algorithm aims at judiciously leveraging processor idle times to lower processor voltages (i.e., the dynamic voltage scaling technique or DVS), thereby reducing energy consumption experienced by parallel applications running on clusters. Reducing processor voltages, however, can inevitably lead to increased execution times of parallel task. The salient feature of the TADVS algorithm is to tackle this problem by exploiting tasks precedence constraints. Thus, TADVS applies the DVS technique to parallel tasks followed by idle processor times to conserve energy consumption without increasing schedule lengths of parallel applications. Experimental results clearly show that the TADVS algorithm is conducive to reducing energy dissipation in large-scale clusters without adversely affecting system performance.

In the first set of experiments, we varied CCR from 0.1 to 1 to examine the performance impacts of communication intensity on our TADVS scheduling strategy. This year, we evaluate the performance of TADVS algorithm by comparing the traditional NDS scheme:
TADVS consistently consumes less energy regardless of the value of CCR (Communication-Computation Ratio) [Ruan et al., 2007]. For example, TADVS conserves the energy consumption for the SPA application by up to 16.8% with an average of 10.7%. When one increases CCR from 0.1 to 1, the energy consumption gradually goes up. This can be explained by the fact that a high CCR results in high communication cost, which in turn leads to the increased total energy consumption. More interestingly, we observe from Fig. 4 that energy savings achieved by the TADVS strategy become more pronounced when the communication intensity is relatively low. This result clearly indicates that low communication intensity offers more space for TADVS to reduce voltage supplies of computing nodes to significantly conserve energy. In other words, applications with low communication intensities can greatly benefit from the TADVS scheduling scheme.

Figure below shows the energy consumption caused by the Gaussian application on the cluster with Intel Pentium 4 processors, whereas First of all, the experimental results reveal that TADVS can save energy consumption for the Gaussian application by up to 14.8% with an average of 9.6%. Second, the results plotted in Figs. 5 and 6 show that compared the Gaussian application with the SPA application, the energy saving rate of TADVS is less sensitive to the communication intensity. The empirical results suggest that the sensitivity of the energy saving rate of TADVS on communication intensity partially relies on the characteristics of parallel applications. Note that parallel applications’ characteristics include parallelism degrees, number of messages, average message size, and the like. Compared with the SPA application (Fig. 1), the Gaussian application has a higher parallelism degree. More specifically, we concluded from the experimental results shown in Figs. 4 and 6 that the energy saving rate of TADVS is less sensitive to the communication intensity of parallel applications with higher parallel degrees. Moreover, parallel applications with higher parallelism degrees are able to take more advantages from the TADVS in terms of energy conservation. A practical implication of this observation is that although high communication intensities of parallel applications tends to reduce energy saving rates of TADVS, increasing parallel degrees of the parallel applications can potentially and noticeably boost up the energy saving rates. [Back to Top]
[Zong et al., 2007d] High performance clusters and parallel computing technology are experiencing their golden ages because of the convergence of four critical momentums: high performance microprocessors, high-speed networks, middleware tools, and highly increased needs of computing capability. With forceful aid of cluster computing technology, complicated scientific and commercial applications like human genome sequence programs, universe dark matter observation and the Google search engine have been widely deployed and applied. Although clusters are cost-effective high-performance computing platforms, energy dissipation in large clusters is excessively high. Most previous studies in cluster computing focused on performance, security, and reliability, completely ignoring the issue of energy conservation. Therefore, designing energy-efficient algorithms for clusters, especially for heterogeneous clusters, becomes highly desirable. This year, we developed two novel scheduling strategies, called Energy-Efficient Task Duplication Scheduling (EETDS) and Heterogeneous Energy-Aware Duplication Scheduling (HEADUS), which attempt to make the best tradeoffs between performance and energy savings for parallel applications running on heterogeneous clusters. Our algorithms are based on the duplication-based heuristics, which are efficient solutions to minimize communication overheads among precedence constrained parallel tasks. Our algorithms consist of two major phases. Phase one is used to optimize performance of parallel applications and the second phase aims to provide significant energy savings. We present extensive simulation results using realistic parallel applications to prove the efficiency of our algorithm.
[Zong et al., to be published] Improve performance and conserve energy are two conflict objectives in parallel storage systems. In this project, we proposed a novel solution to achieve the twin objectives of maximizing performance and minimizing energy consumption of large scale parallel disk arrays. We observed that buffer disks can be a performance bottleneck of an energy-efficient parallel disk system. We developed a heat-based and duplication-enabled load balancing strategies to successfully overcome the natural shortcoming of the BUD architecture, in which the limited number of buffer disks are very likely become the bottleneck.
The basic idea of heat-based mapping is that blocks in data disks will be mapped to buffer disks based on their heat (access frequency). Our goal is to make the accumulated heat of data blocks allocated to each buffer disk is exactly the same or at least close. In other words, the temperature of each buffer disk should be in the same level. Here the temperature of a buffer disk means the total heat of all blocks existing in this buffer disk. For example, in current request queue, the heat of block 1-6 are 5, 4, 1, 2, 1, 2 respectively. Therefore, block 1 is cashed to buffer disk 1, block 2 and 3 are copied to buffer disk 2 and block 4, 5 and 6 are mapped to buffer disk 3. In this way, the temperature of each buffer disk is 5. The following figure depicts the dispatch results of heat-based load balancing strategy. Note that there are 15 requests cashed in the RAM buffer and they are going to be dispatched to different buffer disks by the controller. Requests have different colors, which represents they will access different data blocks. For example, request 1 will access the data block1 existing in data disk 1 and request 6 will access the data block6 existing in data disk 6.

The following figure shows another way to do load balancing, i.e. we can duplicate the most popular data blocks to several buffer disks. The basic idea of duplication based load balancing is to move multiple replicas of “hot” data blocks to different buffer disks, which allow multiple buffer disks to serve the requests in parallel thereby improving the performance. In this example, the controller generates a load balanced dispatching by duplicating block 3 in each of the three buffer disks. To decide which block should be duplicated, we also need to calculate and order the heat of data blocks.

To validate the efficiency of the proposed framework and load balancing strategies, we conduct extensive simulations using both synthetic workload and real-life traces.
[Manzanares et al., to be published] Large-scale parallel disk systems are frequently used to meet the demands of information systems requiring high storage capacities. A critical problem with these large-scale parallel disk systems is the fact that disks consume a significant amount of energy. To design economically attractive and environmentally friendly parallel disk systems, we developed two energy-aware prefetching strategies (or PRE-BUD for short) for parallel I/O systems with disk buffers.
First, we studied a concrete example, which is based on the synthetic disk trace presented in the table below.
Synthetic Trace
| Time | 0 | 5 | 10 | 15 | 20 | 25 | 30 | 35 | 40 | 45 | 50 | 55 | 60 | 65 | 70 | 75 | 80 | 85 | 90 | 95 |
| Block | A1 | A2 | B1 | B2 | D1 | D2 | C1 | C2 | B2 | B1 | A1 | A2 | C1 | C2 | D1 | D2 | B2 | B1 | A1 | A2 |
Disk Parameters (IBM 36Z15)
| X = Transfer Rate =55 MB/s | P |
| P |
P |
| E |
E |
| T |
T |
The requests all have the size of 275MB. This means each request will take approximately 5s to complete. This length was chosen, so seek and rotational delays would be negligible. There are N=4 disks used in this example, where each disk is given a unique letter. Each disk has two different data sections requested multiple times throughout the example. The example demonstrates only large sequential reads. This was also chosen to simplify our example to allow us to demonstrate the potential benefits of our approach. We also assume that all the data can be buffered which causes a small percentage of data to be accessed 100% of the time. This is only used for our motivational example and our simulation results vary this parameter to model real-world conditions. We also assume these strategies can be handled off-line meaning we have prior knowledge of the complete disk request pattern.
Non-Energy Aware Results
| T |
70s | T |
70s |
| T |
80s | T |
80s |
| T |
30s | T |
30s |
| T |
20s | T |
20s |
| E |
0J | E |
0J |
| E |
0J | E |
0J |
| T |
1119J | T |
1119J |
| T |
1086J | T |
1086J |
| T |
4410J |
Energy Aware Results
| T |
0s | T |
10s |
| T |
0s | T |
0s |
| T |
30s | T |
30s |
| T |
20s | T |
20s |
| T |
45.2s | T |
33.7s |
| T |
53.7s | T |
53.7s |
| E |
296J | E |
309J |
| E |
309J | 309J | |
| T |
814J | T |
900.25J |
| T |
713.25J | T |
713.25J |
| T |
3140.75J |
PRE-BUD Approach 1
| T |
0s | T |
0s |
| T |
0s | T |
0s |
| T |
10s | T |
10s |
| T |
10s | T |
10s |
| T |
100s | T |
100s |
| T |
100s | T |
100s |
| E |
13J | E |
13J |
| E |
13J | 13J | |
| T |
398J | T |
398J |
| T |
398J | T |
398J |
| BD |
540 | BD |
1350J |
| T |
3482J |
PRE-BUD Approach 2
| T |
0s | T |
0s |
| T |
0s | T |
0s |
| T |
140s | T |
10s |
| T |
10s | T |
10s |
| T |
0s | T |
100s |
| T |
100s | T |
100s |
| E |
0J | E |
13J |
| E |
13J | 13J | |
| T |
1890J | T |
398J |
| T |
398J | T |
398J |
| BD |
540 | BD |
1350J |
| T |
3084J |
The results presented in the above four Tables gave us some promising initial results. The two approaches using a buffer disk provided significant energy savings over the non-energy aware parallel disk storage system. This has the benefit of not impacting the capacity of the large-scale parallel disk system. The other main benefit of our first approach is the fact that state transitions are lowered as compared to the energy aware baseline.
Second, we design a prefetching approach that utilizes an extra disk to accommodate prefetched data. Third, we develop a second prefetching strategy that makes use of an existing disk in the parallel disk system as a buffer disk. Compared with the first prefetching scheme, the second approach lowers the capacity of the parallel disk system. However, the second approach is more cost-effective and energy-efficient than the first prefetching technique.
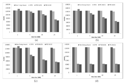
Finally, we quantitatively compare both of our prefetching approaches against two conventional strategies including a dynamic power management technique and a non-energy-aware scheme. The results obtained from the Figure below held the number of disks to 4 and also kept the data size of each request at 275MB. We have omitted the results of the non-energy aware approach, since they are constant and higher than the energy aware strategy. As expected the performance of both of our strategies were lowered when the hit rate was decreased. This is expected since our motivational example demonstrated a best case scenario. Disk sleep times are lowered once a miss is encountered. This is due to the fact that a disk has to wake up to serve the request. This will increase the energy consumption of disks that have to serve the missed requests. This leads to an increase in the total energy consumption of the entire system. Our buffered large-scale parallel disk system is still able to consume less energy than the energy aware approach. The energy aware and non-energy aware disk systems are not affected by buffer disk miss rates.

The first buffer disk approach begins to approach the same level of performance as the energy aware strategy. It is only able to save 10% energy over the energy aware strategy when the hit rate is 75%. This is because adding the extra disk puts extra energy requirements on the system, and lowering the hit rate further impacts the energy benefits of the first strategy. The second buffered disk approach is still able perform 25% better than the energy aware approach. This is because there is not the extra energy penalty of adding an extra disk. The capacity of your disk system will be lowered using this approach.
The hit rate becomes a very important factor in the performance of our approaches. If the buffer disk is constantly missing requests then both strategies will eventually downgrade to the energy aware approach. Fortunately applications have been documented to request 20% of the data available 80% of the time. Our heuristic based approach would work considerably well in this case. This is modeled by the 80% hit rate. The buffered disk approach one and two are able to save 12% and 26% energy over the energy aware strategy when the hit rate is 80%. Similarly, they are able to save 37% and 47% of the total energy compared to the non-energy aware approach.
The first buffer disk approach downgrades more quickly than the second approach as the hit rate is decreased as compared to the energy aware approach. This is not that great of a concern since the first strategy is still able to have a positive impact on the reliability of the as compared to the energy aware approach. The first buffer disk approach is still able to produce significant energy savings over the non-energy aware approach without compromising the reliability of the system. The energy savings performance of the second approach does not diminish as quickly as the first approach, but there will be an impact on the capacity of the system. The second approach is also able to reduce the number of state transitions.

From the above Figure we are able to see that the non-energy aware approach wastes a considerably larger amount of energy as compared to all of the energy aware approaches. This is expected since the non-energy aware approach is not able to place disks in the standby mode. Buffer strategy 1 was able to produce a 12% increase in energy savings over the energy aware strategy when 10 disks were simulated. Similarly, buffer strategy performed even better with an 18% increase. This is expected again because of the energy overhead adding an extra disk Buffer Strategy 1 requires. [Back to Top]
[Xie and Sun, 2008a] Mainstream energy conservation schemes for disk arrays inherently affect the reliability of disks. A thorough understanding of the relationship between energy saving techniques and disk reliability is still an open problem, which prevents effective design of new energy saving techniques and application of existing approaches in reliability-critical environments. As one step towards solving this problem, we investigated an empirical reliability model, called Predictor of Reliability for Energy Saving Schemes (PRESS). The architecture of the PRESS model is given below:

Fed by three energy-saving-related reliability-affecting factors, operating temperature, utilization, and disk speed transition frequency, PRESS estimates the reliability of entire disk array. In what follows, we present two 3-dimennsional figures to represent the PRESS model at operating temperature 40 C (Figure 5a) and 50 C (Figure 5b), respectively.

Further, we developed a new energy saving strategy with reliability awareness called Reliability and Energy Aware Distribution (READ) is developed in the light of the insights provided by PRESS. Experimental results demonstrate that compared with existing energy saving schemes, MAID and PDC, READ consistently performs better in performance and reliability while achieving a comparable level of energy consumption.

[Xie and Sun, 2007] Many real-world applications like Video-On-Demand (VOD) and Web servers require prompt responses to access requests. However, with an explosive increase of data volume and the emerging of faster disks with higher power requirements, energy consumption of disk based storage systems has become a salient issue. To achieve energy-conservation and prompt responses simultaneously, in this study we propose a novel energy-saving data placement strategy, called Striping-based Energy-Aware (SEA), which can be applied to RAID-structured storage systems to noticeably save energy while providing quick responses. Further, we implement two SEA-powered RAID-based data placement algorithms, SEA0 and SEA5, by incorporating the SEA strategy into RAID-0 and RAID-5, respectively. Extensive experimental results demonstrate that (see the three figures below) compared with three well-known data placement algorithms Greedy, SP, and HP, SEA0 and SEA5 reduce mean response time on average at least 52.15% and 48.04% while saving energy on average no less than 10.12% and 9.35%, respectively.

[Xie, 2007] and [Madathil et al., 2008] The problem of statically assigning nonpartitioned files in a parallel I/O system has been extensively investigated. A basic workload characteristic assumption of existing solutions to the problem is that there exists a strong inverse correlation between file access frequency and file size. In other words, the most popular files are typically small in size, while the large files are relatively unpopular. Recent studies on the characteristics of web proxy traces suggested, however, the correlation, if any, is so weak that it can be ignored.
Hence, in this part of study, we raised the following two questions. First, can existing algorithms still perform well when the workload assumption does not hold? Second, if not, can one develop a new file assignment strategy that is immune to the workload assumption? To answer these questions, in this project we first evaluated the performance of three well-known file assignment algorithms with and without the workload assumption, respectively. Next, we developed a novel static file assignment strategy for parallel I/O systems, called static round-robin (SOR), which is immune to the workload assumption.

The above four figures show the simulation results for the four algorithms on a parallel I/O disk array with 16 disk drives. We observe that SOR consistently outperforms the three exiting approaches in terms of mean response time. This is because SOR considers both minimizing variance of service time for each disk and fine-tuning load balancing degree. Consequently, the sorted files were continuously assigned to disks such that a more evenly distributed workload allocation scheme was generated. SP takes the second place in mean response time metric, which is consistent with our expectation because it is one of the best existing static file assignment heuristics. To clearly demonstrate the performance improvement, Fig. 2b provides mean response time decrease gained by SOR compared with Greedy, SP, HP, respectively. In particular, SOR can reduce mean response time on average by 1118.3, 1052.8, and 269.6 seconds, compared with HP, Greedy, and SP, respectively. An interesting observation is that the mean response time improvement becomes more significant when the overall workload represented by the aggregate access rate increases. The implication is that SOR exhibits its strength in situations where system workload is heavy. In terms of mean slowdown, SOR also performs best among the four heuristics (Fig. c), which is consistent with the results shown in Fig. a. Since the total workload is relatively heavy, the mean disk utilization in Fig. d quickly arises to 1 when aggregate access rate is larger than 25 (1/second). [Back to Top]
[Zong et al., 2008] [Zong et al., to be published] To conserve energy, BUD makes an effort to place most data disks will run in the low power state, thereby directing most traffic to a limited number of buffer disks. This can potentially make the buffer disks overloaded and become the performance bottleneck. Load balancing is one of the best solutions for the inherent shortcoming of the BUD architecture. Basically, there are three types of load balancing strategies called non-random load balancing, random load balancing, and redundancy load balancing. Sequential mapping belongs to non-random load balancing, because the buffer disks have fixed mapping relationships with specific data disks. The round-robin mapping is a typical random load balancing strategy by allocating data to each buffer disk with equal portions and in order. Redundancy load balancing strategies for storage systems include EERAID, eRAID, and RIMAC. We designed a heat-based load balancing strategy, which is also a random load balancing strategy. The primary objective of our strategy is to minimize the overall response time of disk requests by keeping all buffer disks equally loaded.
In contrast to sequential and round robin mapping algorithms, a heat-based mapping strategy is proposed to achieve load balancing among buffer disks. The basic idea of heat-based mapping is that blocks in data disks are mapped to buffer disks based on their heat, i.e. frequencies of accesses. Our goal is to make the accumulated heat of data blocks allocated to each buffer disk the same or close to this ideal situation. In other words, the temperature, or the workload of each buffer disk should be the same. The temperature of a buffer disk is the total heat of all blocks existing in the buffer disk. For example, suppose all blocks have the same data size, the heat of blocks 1-6 is 5, 4, 1, 2, 1, and 2, respectively. Then, block 1 is cached to buffer disk 1, blocks 2 and 3 are copied to buffer disk 2 and blocks 4, 5 and 6 are mapped to buffer disk 3. With this mapping in place, the temperature of each buffer disk is 5.
This algorithm will periodically collect the requests waiting in the queue, analyze the target block of each read request, and calculate the heat of each unique block. If the target block cannot be found in the buffer disk, the controller initiates a data miss command. This in turn will wake up the corresponding data disk in order to copy the block to the buffer disk that has the lowest temperature. In a special case, the selected buffer disk may not have free space to store a new data block. The controller will seek the next buffer disk with a temperature that is higher than the initial buffer disk selected, but still lower than any other buffer disks. In the worst case, no candidate buffer disk will be found because all buffer disks are full. A data replacement function using the Least Recently Used (LRU) algorithm will be executed to evict some existing data blocks. If the target block has already been cached in one of the buffer disks, then that buffer disk will serve the corresponding request. Once the algorithm has made the decision how to dispatch these requests, the block heat and buffer disk temperature need to be recalculated and updated accordingly. Since this is an online algorithm, the decision made at the current time period relies on the heat and temperature information collected in the last time period.
This set of experimental results aims at evaluating the energy efficiency of the buffer disk based parallel storage systems. To fairly compare the results, we generated and executed a large number of requests and simulated both large reads (average data size is 64MB) and small reads (average data size is 64KB). The following two Figures plot the total energy consumption of NO-buffer and Heat-BUD running 2000, 5000, 10000, and 20000 large read requests and small read requests, respectively. There are three important observations here. First, the BUD can significantly conserve energy compared with No-Buffer parallel storage systems. Second, the more requests BUD serves, the more potential power savings is revealed. For example, BUD outperforms No-Buffer in terms of energy conservation by 75.83%, 77.89%, 80.18% and 81.16% for 2000, 5000, 10000, and 20000 large reads, respectively. This is expected because more requests lead to more opportunities for BUD to keep the data disks in the sleep state. Third, BUD performs better for small reads (average 84.4% improvement) than large reads (average 78.77% improvement). The reason is that BUD consumes more energy when moving large data blocks to buffer disks.
In this part of the study, we evaluated the load balancing ability of the heat-based algorithm. Recall that the temperature of a buffer disk clearly indicates how busy it is. The Figure below records the temperature of three buffer disks when BUD is processing 800 requests. We can see that the three temperature curves merge together most of the time, which means that the three buffer disks are almost equally loaded for most of the simulation time.

In order to identify the information hidden in the above Figure and understand how the dynamic load balancing works, we plot the initial stage, intermediate stage of the temperature tracking trace in the following two Figures. At the initial stage, the three buffer disks are not load balanced. Buffer disk 2 is the busiest disk and buffer disk 1 is lightly loaded. Therefore, the heat-based algorithm will keep allocating requests to buffer disk 1. We observe that the temperature of buffer disk 1 keeps growing and it catches buffer disk 3 first. After that, the temperatures of buffer disk 1 and 3 cross-rise for a while and then they catch buffer disk 2. At this point, the system is load balanced for the first time. Fig. 5 shows that the entire system is perfectly load balanced in the intermediate stage because the temperatures of three buffer disks rise in turns.

To compare the load balancing efficiency of sequential mapping, round robin mapping, and heat-based mapping, we tested 2500 requests with average data size of 4MB using these three mapping strategies. The simulation results depicted in the Figure below prove that our heat-based mapping is the most efficient algorithm that achieves load balancing. In addition, the random mapping method (e.g., round robin mapping) outperforms non-random mapping strategies (e.g., sequential mapping) in terms of load balancing. [Back to Top]
[Manzanares et al., 2008a] The prefetching algorithm uses the frequency that a block is requested as a heuristic. The first step of the algorithm iterates over all of the requests and counts the references for each unique block. Then it sorts the list of unique blocks by the number of references to each block. At this point the algorithm puts the highly requested blocks into the buffer until it is full.
The last part of the algorithm also iterates over all requests trying to figure out how long each disk can sleep. If a block requested for a disk is in the buffer disk, the corresponding data disk can sleep longer. The buffer disk handles the request and the distance between requests on the same disk becomes cumulative. If a requested block is not in the buffer the disk must be woken up to serve the request, this is handled by the power management mechanism. The distance is then set to zero since the disk had to be woken up. Using the frequently accessed heuristic the PRE-BUD strategy should have a small performance impact on the system. Almost all steps of the algorithm run linearly with respect to the number of requests. The only step that is not linear is the phase that sorts the list of requests according to their frequency. Sorting is a common procedure and is known to have a best-case run-time of O(nlogn), where n is the number of data request to be sorted. The PRE-BUD strategy is able to have a run time of O(n + nlogn) using an efficient sorting algorithm. The PRE-BUD strategy is not assumed to be optimal, since the requested blocks are sorted using their frequency. The frequency is used as a heuristic to select blocks to be placed in the buffer. An optimal strategies goal would be to select the requests to be placed in the buffer that produce the largest impact on the standby time of disks. The standby time of each disk is directly related to the energy savings of the system.
The results displayed in the Figure below held the number of disks to 4 and also kept the data size of each request at 275MB. We have omitted the results of the non-energy aware approach, since they are constant and higher than the energy aware strategy. Buffer Strategy 1 adds an extra disk and Buffer Strategy 2 uses an existing disk as the buffer disk. As expected the performance of both of our strategies were lowered when the hit rate was decreased. Disk sleep times are lowered once a miss is encountered. This is due to the fact that a disk has to wake up to serve the request. This will increase the energy consumption of disks that have to serve the missed requests. This leads to an increase in the total energy consumption of the entire system. Our buffered large-scale parallel disk system is still able to consume less energy than the energy aware approach. The energy aware and non-energy aware disk systems are not affected by buffer disk miss rates.

As the hit rate is lowered, the first buffer disk approach begins to approach the same level of performance as the energy aware strategy. It is only able to save 10% energy over the energy aware strategy when the hit rate is 75%. This is because adding the extra disk puts extra energy requirements on the system, and lowering the hit rate further impacts the energy benefits of the first strategy. The second buffered disk approach is still able perform 25% better than the energy aware approach. This is because there is not the extra energy penalty of adding an extra disk. The capacity of your disk system will be lowered using this approach.
The hit rate becomes a very important factor in the performance of our approaches. If the buffer disk is constantly missing requests then both strategies will eventually downgrade to the energy aware approach. Fortunately applications have been documented to request 20% of the data available 80% of the time. Our heuristic based approach would work considerably well in this case. This is modeled by the 80% hit rate. The buffered disk approach one and two are able to save 12% and 26% energy over the energy aware strategy when the hit rate is 80%. Similarly, they are able to save 37% and 47% of the total energy compared to the non-energy aware approach.
The first buffer disk approach downgrades more quickly than the second approach as the hit rate is decreased as compared to the energy aware approach. This is not that great of a concern since the first strategy is still able to have a positive impact on the reliability of the system as compared to the energy aware approach. The first buffer disk approach is still able to produce significant energy savings over the non-energy aware approach without compromising the reliability of the system. The energy savings performance of the second approach does not diminish as quickly as the first approach, but there will be an impact on the capacity of the system. The second approach is also able to reduce the number of state transitions.

From the above Figure we are able to see that the non-energy aware approach wastes a considerably larger amount of energy as compared to all of the energy aware approaches. This is expected since the non-energy aware approach is not able to place disks in the standby mode. Buffer strategy 1 was able to produce a 12% increase in energy savings over the energy aware strategy when 10 disks were simulated. Similarly, buffer strategy performed even better with an 18% increase. This is expected again because of the energy overhead adding an extra disk Buffer Strategy 1 requires. Our approach produces promising results as the number of disks is increased. This is an important observation, since our target system is a large-scale parallel system. This leads us to believe our system will produce energy benefits regardless of the number of disks in a system. [Back to Top]
[Bellam et al., 2008] RAID 1 is popular and is widely used for disk drives. RAID 1 is implemented with a minimum of two disks, which are the primary and back disks. Initially the data is stored to the primary disk and then it is mirrored to the backup disk. This mirroring helps to recover the data when there is a failure in the primary disk. It also helps to increase the performance of the RAID 1 system by sharing the workload between the disks. We considered RAID 1 for all of our experiments.
The processor in the system generates the I/O stream, which is queued to the buffer. The utilization of the disk is calculated using the request arrival rate. Please refer to Section 3 for details of the description for the disk utilization model.
It should be noted that all requests here are considered as read requests. At any given point of time the disks can be in the following three states.
• State 1: Both the disks in sleep mode
• State 2: Primary disk active and backup disk in sleep mode
• State 3: Both the disks in active mode and share the load.
Let us consider that the disks are in state 1 at the beginning. Once the utilization is calculated, it is compared with the safe utilization zone range. If the calculated value falls below the range then disks stay in state 1. If the calculated value is within the range, then the primary disk is made active while the backup disk continues to stay in the sleep mode. This represents a transition to state 2. If the calculated value is beyond the range then both the disks are made active and both of them share the load, which corresponds to state 3. Transition of states from one power mode to another involves disk spin up and/or spin down. The disk spin ups and spin downs also consume a lot of energy.
RAID 1 is used in our experiments. RAID 1 uses a minimum of two disks, one as a primary and one as the backup. We conducted the experiments on three types of disks from IBM. The experimental results are compared against two traditional state of the art methods. In the first method, load balancing, both the disks are always made active. Load balancing achieves very high performance because both the disks share the load. The second method, traditional method, is where the primary disk is made always active and the backup disk is kept in sleep mode. The backup disk is made active only when the utilization of the primary disk exceeds 100%, also known as saturation. In what follows, we term our approach as RAREE (Reliability aware energy efficient approach).
The experimental data generated from the simulations is plotted in the above Figure, which represents the energy consumed by the 2 year old disk respectively. RAREE is compared against load balancing and the traditional method. From the above Figure it is observed that for the IBM 36Z15 disk the power consumed by RAREE falls in between the load balancing and traditional techniques. Even for the IBM 73LZX the trend is similar, but the difference in values is not as high as IBM 36Z15. For the IBM 40GNX the power consumed by RAREE is smaller than the traditional and load balancing power consumption values because disk spin up and spin down values are much smaller for the IBM 40GNX when compared with the other two disks. It should be observed that the disk spin down and disk spin up values play a vital role in the energy consumption.

The above Figure shows the performance of RAREE on Travelstar disks of different ages. It can be observed from figure that RAREE consumes less energy when compared to traditional and load balancing.

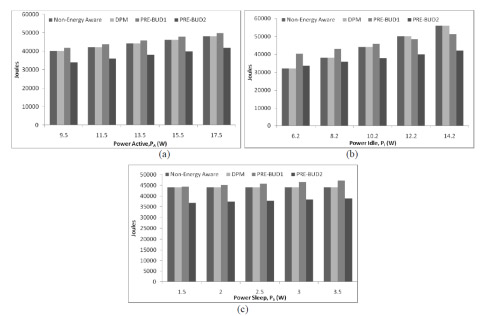
The Figure above shows the effects on energy when the spin up energy is varied for a 2 year old disk. The RAREE energy consumption falls in between traditional and load balancing techniques. Though the energy consumed by RAREE is a little higher than traditional technique, here we are also gaining good amount reliability.

The above Figure shows the change in energy as the active power is varied. Here RAREE energy consumption is definitely less than the two existing techniques, because RAREE makes the disks go to sleep mode as soon there are no requests unlike the other techniques. When idle power is changed unlike the active power the energy consumed by the RAREE again falls between the two techniques. This is because RAREE makes the system go to sleep mode very often depending on the conditions. It should be observed here though the RAREE consumed a bit higher energy than traditional it can be neglected as we are achieving reliability.

The above Figure is a very important graph here it shows the reliability in terms of annual failure rate percentile. It can be observed from the graph that RAREE achieves a very high reliability when compared to load balancing and traditional. Only one bar is shown for load balancing and traditional techniques because both have the same reliability levels as they don’t pay special attention to reliability. We also found an interesting observation that when RAREE is applied to IBM40GNX, which is a travelstar, it definitely consumes much less energy than the other two Ultrastars, which are high performance disks. This makes it clear that RAREE gives best results when it is used on mobile disks instead of high performance disks. This doesn’t limit the usage of RAREE to mobile disks because though Ultrastar consumes a little more energy than traditional technique we still get a good reliability at a marginal cost of energy. Simulation results prove that on an average roughly 20% of energy can be saved when RAREe is used instead of load balancing. When RAREe is used instead of the traditional method an excess of 3% of energy is saved, it is not a very significant amount but along with a very little energy saving we are also achieving high reliability which makes it significant. [Back to Top]
[Roth et al., 2008] Energy conservation has become a critical problem for real-time embedded storage systems. Although a variety of approaches to reducing energy consumption has been extensively studied, energy conservation for real-time embedded storage systems is still an open problem. In this research, we propose an energy management strategy (IBEC) using I/O burstiness for real time embedded storage systems. Our approach aims at blending the IBEC energy management strategy with low level disk scheduling mechanism to conserve energy consumed by storage systems.
The left Figure shows the power consumption of these four algorithms when average request deadline varies from 75 ms to 25000 ms. We observe from this Figure that each of the four algorithms consumes the same amount of power at the maximal level when the average request deadline is less than 3500 ms. This is because the hard-disk has to be kept active all the time to service the arrival disk requests which have very tight deadlines. In other words, there is no opportunity for IBEC to conserve some power. Therefore, IBEC gracefully degraded to existing power-aware scheduling algorithms like DP-EDF and PA-EDF. When the average request deadline is equal to or larger than 3500 ms, however, IBEC starts to conserve some energy while the three baseline algorithms remain the same performance in power consumption. We attribute the PF improvement of IBEC over the three baseline algorithms to the fact that IBEC judiciously employ the loose deadlines to conserve some energy. More interestingly, the improvement of IBEC over the three existing schemes in terms of PF is more pronounced when the deadline becomes looser for IBEC can further improve its power consumption performance when more slack time is available. On average, IBEC can save 10.8% power compared with the baseline algorithms.

The left Figure plots GR of the four algorithms when the deadline is increased from 75 to 25000 ms. It reveals that IBEC performs exactly the same, with respect to GR, as all the rest approaches when the deadline is less than 1000 ms. The reason is that the relatively high workload along with the tight deadlines make IBEC only concentrate on guaranteeing arrival requests’ timing constraints, which have a higher priority than power conservation requirement. However, the GR performance of IBEC suddenly drops off when the deadline is 10,000 ms. In fact, this is an artifact of our specific implementation of the IBEC algorithm. In order to keep simulation times manageable and to closely approximate a real system where no infinite amount of time is available to re-evaluate the schedulability of a queue, we limited the maximum number of requests that IBEC would ensure their deadline constraints. In particular, when the length of the waiting queue of requests is larger than 1,000, our implementation of IBEC will no longer guarantee the schedulability of requests after the 1,000th.

From the following Figure, we can make three important observations. First, all algorithms perform identically in power consumption under the Normal Distribution. Second, the three power-aware algorithms noticeably outperform the EDF scheme, which has no power-awareness at all, when the Sparse Distributions were applied. This is because the nature of the Sparse Distribution decides a relatively large time interval between two continuous disk requests, which in turn gives the three power-aware algorithms chances to switch the hard-disk to “sleep” mode to save energy. Furthermore, IBEC slightly outperforms DP-EDF and PA-EDF, two naïve power-aware algorithms. The rationale behind this phenomenon is that IBEC can make most use of the slack time of each arrival request. Put it in another way, IBEC only wakes up the disk at the last second from which all arrived requests’ deadlines can still be met, while DP-EDF only lets the disk sleep for a fixed period of time no matter whether a request is waiting for service or not. Third, for clustered workloads, IBEC and the two naive power-aware techniques perform comparably, and they both significantly perform better than EDF. This is due to the fact that IBEC, DP-EDF, and PA-EDF can put the disk to “sleep” status completely between clusters of requests. Thus, the three power-aware algorithms can substantially save power compared with EDF. The reason why IBEC ties with DP-EDF and PA-EDF is that the performance improvement of IBEC in terms of power consumption essentially depends on slack times of arrival requests rather than the arrival patterns.

The results reported in the left Figure reveal that all of the four algorithms deliver a 100% guarantee ratio under the Sparse Distribution. The reason for this is that the average request deadline is generally much shorter than the sparse idle threshold, which means that even though IBEC aggressively slows down the processing pace of disk requests, their deadlines can still be satisfied. When we applied a Cluster Distribution pattern, the performance of the four algorithms goes down when the parameters of the Cluster Distribution increase. This is because there were a large number of requests arrived during a burst of incoming requests. Consequently, all the algorithms can only guarantee the deadlines of a small part of them.
[Liu et al., 2008a] Reducing energy consumption has become a pressing issue in cluster computing systems not only for minimizing electricity cost, but also for improving system reliability. Therefore, it is highly desirable to design energy-efficient scheduling algorithms for applications running on clusters. In this project, we address the problem of non-preemptively scheduling mixed tasks on power-aware clusters. We developed an algorithm called Power Aware Slack Scheduler (PASS) for tasks with different priorities and deadlines. PASS attempts to minimize energy consumption in addition to maximizing the number of tasks completed before their deadlines. To achieve this goal, high-priority tasks are scheduled first in order to meet their deadlines. Moreover, PASS explores slacks into which low-priority tasks can be inserted so that their deadlines can be guaranteed. The dynamic voltage scaling (DVS) technique is used to reduce energy consumption by exploiting available slacks and adjusting appropriate voltage levels accordingly.
The following Figure shows the total energy consumed to execute 1600 tasks. We observe that PASS saves up to 60 percent of the energy over CC-EDF. The reason that PASS can achieve such significant energy savings is because PASS creates large integrated slacks by scheduling tasks to the latest possible start time. CC-EDF schedules tasks according to the rule of Minimum Completion Time (MCT) which always schedules a task to its earliest possible start time. In this way, EDF hardly leaves any slack time that may be used by the DVS technique.

Now we compare the performance of PASS against CC-EDF. We performed simulations for different task loads in order to examine the performance consistency. With respect to Hard Task Acceptance Ratio, from the above Figure we observe that PASS yields 10% better performance on average than CC-EDF. When the number of tasks is below 6400, PASS guarantees that all hard tasks can meet their deadlines. As the number of tasks further increases, PASS is still able to schedule most of the hard tasks while EDF is no longer able to reach similar performance level. The reason is because PASS always schedules hard tasks first, which helps meet hard tasks’ deadlines. CC-EDF does not consider task priority, which results in a number of un-schedulable hard tasks.
The Figure below shows both algorithms can not schedule all tasks when the number of tasks exceeds 3200. It becomes unfair if we compare two algorithms using the Total Energy Consumption metric, since the number of accepted tasks by using PASS is different from the number by using CC-EDF. Instead, we use the Energy Consumption per Task as the metric. In this way, we are able to study the effect brought by the number of tasks on energy consumption.

As shown in the following Figure, PASS consistently performs better than CC-EDF with respect to Energy Consumption per Task. It is again because PASS decreases the processor speed for each task by utilizing the corresponding slack time. An interesting observation is that as the number of tasks increases, the Energy Consumption per Task achieved by PASS also increases. Once there are more incoming tasks, less slack times will be available since more tasks need to be scheduled within those slack times. [Back to Top]

[Nijim et al., 2008a] In the past decade parallel disk systems have been highly scalable and able to alleviate the problem of disk I/O bottleneck, thereby being widely used to support a wide range of data- intensive applications. Optimizing energy consumption in parallel disk systems has strong impacts on the cost of backup power-generation and cooling equipment, because a significant fraction of the operation cost of data centres is due to energy consumption and cooling. Although a variety of parallel disk systems were developed to achieve high performance and energy efficiency, most existing parallel disk systems lack an adaptive way to conserve energy in dynamically changing workload conditions. To solve this problem, we develop an adaptive energy-conserving algorithm, or DCAPS, for parallel disk systems using the dynamic voltage scaling technique that dynamically choose the most appropriate voltage supplies for parallel disks while guaranteeing specified performance (i.e., desired response times) for disk requests.
The DCAPS algorithm aims at judiciously lower the parallel disk system voltage using dynamic voltage scaling technique or DVS, thereby reducing the energy consumption experienced by disk requests running on parallel disk systems. The processing algorithm separately repeats the process of controlling the energy by specifying the most appropriate voltage for each disk request. Thus, the algorithm is geared to adaptively choose the most appropriate voltage for stripe units of a disk request while warranting the desired response time of the request.
The above two Figures plot the satisfied ratios, normalized energy consumption, and energy conservation ratio of the parallel disk systems with and without DCAPS. Figs 3(a) reveals that the DCAPS scheme yields satisfied ratios that are very close to those of the parallel disk system without employing DCAPS. This is essentially because DCAPS endeavors to save energy consumption at the marginal cost of satisfied ratio. More importantly, Figs. 3(b) and 4 show that DCAPS significantly reduces the energy dissipation in the parallel disk system by up to 71% with an average of 52.6%. The improvement in energy efficiency can be attributed to the fact that DCAPS reduces the disk supply voltages in the parallel disk system while making the best effort to guarantee desired response times of the disk requests. Furthermore, it is observed that as the disk request arrival rate increases, the energy consumption of the both parallel disk systems soars.
The Figure below shows that as the load increases, the energy conservation ratio tends to decrease. This result is not surprising because high arrival rates lead to heavily utilized disks, forcing the DCAPS to boos disk voltages to process larger number of requests within their corresponding desired response times. Increasing number of disk request and scaled-up voltages in turn give rise to the increased energy dissipations in the parallel disk systems.


[Nijim et al., 2008b] Cluster storage systems have emerged as high-performance and cost-effective storage infrastructures for large-scale data-intensive applications. Although a large number of cluster storage systems have been implemented, the existing cluster storage systems lack a means to optimize quality of security in dynamically changing environments. We solve this problem by developing a security-aware cache management mechanism (or CaPaS for short) for cluster storage systems. CaPaS aims at achieving high security and desired performance for data-intensive applications running on clusters. CaPaS is used in combination with a security control mechanism that can adapt to changing security requirements and workload conditions, thereby providing high quality of security for cluster storage systems. CaPaS is comprised of a cache partitioning scheme, a response-time estimator, and an adaptive security quality controller. These three components help in increasing quality of security of cluster storage systems while allowing disk requests to be finished before their desired response times. To prove the efficiency of CaPaS, we simulate a cluster storage system into which CaPaS, eight cryptographic, and seven integrity services are integrated. Empirical results show that CaPaS significantly improves overall performance over two baseline strategies by up to 73% with an average of 52% (see the above four Figures).
[Liu et al., 2008b]
Although data duplications may be able to improve the performance of data-intensive applications on data grids, a large number of data replicas inevitably increase energy dissipation in storage resources on the data grids. In order to implement a data grid with high energy efficiency, we address in this study the issue of energy-efficient scheduling for data grids supporting real-time and data-intensive applications. Taking into account both data locations and application properties, we design a novel Distributed Energy-Efficient Scheduler (or DEES for short) that aims to seamlessly integrate the process of scheduling tasks with data placement strategies to provide energy savings. DEES is distributed in the essence - it can successfully schedule tasks and save energy without knowledge of a complete grid state. DEES encompasses three main components: energy-aware ranking, performance-aware scheduling, and energy-aware dispatching. By reducing the amount of data replications and task transfers, DEES effectively saves energy.
The following Figure shows the performance of DEES using different (ε, μ) value pairs with respect to Guarantee Ratio. It is observed that DEES (2, 1) gives the best performance. This is because DEES (2, 1) takes both goals of meeting deadline and saving energy into account, and put more weight onto the deadline meeting part. Neighbors that can schedule more tasks are given preference. We conclude it is better to give preference to neighbors that can schedule more tasks while consuming satisfactory amount of energy.

With respect to Normalized Average Energy Consumption, as shown in the following Figure, we observe that DEES (2, 1) consumes the least amount of energy while DEES (0, 1) consumes the most. DEES (2, 1) considers both energy consumption and deadline constraints when dispatching tasks to neighbors. Doing so can reduce the energy cost per task. On the other hand, DEES (0, 1) schedules fewer tasks since it only cares about energy consumption when dispatching tasks. Moreover, given that more tasks miss their deadlines at each site; additional data replications may be needed. Therefore it relatively consumes more energy to replicate data and transfer the tasks.

In this experiment set, we compared the performance of DEES with Close-to-Files and Performance-driven algorithms under different task loads. From the Figure below, we observe that DEES yields better performance than Close-to-Files and achieves the same performance level as the Performance-driven algorithm does. The Performance-driven algorithm always schedules a task to a globally best resource that gives the best performance. Since it only focuses on performance but not other factors such as data locality, it yields very good performance with respect to Guarantee Ratio. But the fact that DEES gives similar performance as the Performance-driven algorithm is importance. Thus, DEES not only reduces energy consumption, but it does so without degrading the Guarantee Ratio. One reason is because DEES always schedules tasks with shorter deadlines first. The final criteria for judging whether a task can be scheduled are the task deadlines. Scheduling those tasks with shorter deadlines first makes more tasks schedulable. Moreover, DEES is fully distributed, which is expected to improve the performance when compared to a centralized algorithm, such as the Performance-driven algorithm, especially when the task load is heavy. Given that DESS is fully distributed, while Close-to-Files and Performance-driven algorithms need knowledge of a complete state of the grid, the results make DEES more favorable.

With respect to Normalized Average Energy Consumption, as shown in the Figure below, we see that DEES consumes much less energy per task than Close-to-Files does. On average DEES saves over 35% of energy consumed when compared to the other algorithms. This is because DEES considers the energy consumed to transfer both tasks and data during dispatching. Moreover, DEES groups tasks according to their data accesses and processes tasks on a group basis. Doing so limits the number of data replicas. This is because whenever data is replicated to a remote site, DEES always maximizes utilization of the data replicated by scheduling as many tasks as possible to that remote site. On the other hand, Close-to-Files makes dispatching decisions on a single task basis, which may result in unnecessary data replications. Furthermore, since DEES schedules more tasks than Close-to-Files does, the energy cost per task is expected to be less. The Performance-driven algorithm consumes the most amount of energy due to the fact that it is a greedy algorithm that always schedules a task to a resource giving the best performance, regardless of how much data are needed to be replicated and transferred. [Back to Top]

[Ruan et al., 2009] In the past decades, parallel I/O systems have been used widely to support scientific and commercial applications. New data centers today employ huge quantities of I/O systems, which consume a large amount of energy. Most large-scale I/O systems have an array of hard disks working in parallel to meet performance requirements. Traditional energy conservation techniques attempt to place disks into low-power states when possible. In this work we propose a novel strategy, which aims to significantly conserve energy while reducing average I/O response times. This goal is achieved by making use of buffer disks in parallel I/O systems to accumulate small writes to form a log, which can be transferred to data disks in a batch way. We develop an algorithm - dynamic request allocation algorithm for writes or DARAW - to energy efficiently allocate and schedule write requests in a parallel I/O system. DARAW is able to improve parallel I/O energy efficiency by the virtue of leveraging buffer disks to serve a majority of incoming write requests, thereby keeping data disks in low-power state for longer period times. Buffered requests are then written to data disks at a pre-determined time. Experimental results show that DARAW can significantly reduce energy dissipation in parallel I/O systems without adverse impacts on I/O performance.
The Figure below shows the energy consumption and average response time of a parallel disk system with DARAW and the same disk system without DARAW. The results indicate that when we increase SRB, more energy can be saved. The results were expected since when the SRB grows, the system can write more requests into data disks with reduced number of power state transitions. However, we also observe that when the SRB equals to one, the energy consumption is even greater than the disk system without DARAW. This interesting tend can be explained as follows. Our parallel disk system has a buffer-disk layer that also consumes energy. If there is insufficient number of requests written into a data disk when a power-state transition occurs, energy conserved cannot offset energy overhead introduced by the buffer disk. When we did the experiment with a trace generated by increasing values of λ, we observe that energy consumptions in both the non-DARAW parallel disk system and the system with DARAW decrease.

IBM 40GNX Travelstar. Energy Consumption and Average Response Time Compare
Note that all the traces have the same number of disk requests. This implies the fact that when λ is high, all requests are arriving at the system within a shorter period of time, making all the disks stay in the active state for a shortened time interval. This is the reason behind the result that energy consumption of the system with DARAW when λ is set to 0.02 is slightly smaller than that of the system when λ is 0.01. However, the power consumption of the non-DARAW disk system is significantly smaller when λ is 0.01 as compared to λ = 0.02. Once the arrival rate goes up, each data disk in the non-DARAW system has greater probability to receive a request when it is working. Thus, the number of power-state transitions can be noticeably reduced. When λ is set to 0.02, there is less of an opportunity to simultaneously save energy and satisfy response times. When we increase the number of buffer disks from 5 to 20, DARAW can conserve energy while guaranteeing reasonably short response times. An appealing result shown in the above Figure is that compared with the parallel I/O system without DARAW, our approach not only achieves significant energy savings, but also reduces response times. In DARAW, the response time is the time when a request is written in to a data or buffer disk. Since buffer disks can serve coming requests when data disks are sleeping, the response time can be noticeably shortened.
Our results show that DARAW works well for parallel I/O systems with both high performance disks and mobile disks. DARAW achieves promising results when the arrival rate is low. When the request arrival rate rises, we can either use high-performance hard drives or add more buffer disks to boost I/O performance. If the arrival rate is high, all data disks are busy serving requests, leaving no opportunity to save energy. As the SRB parameter grows, DARAW is given a greater window of opportunity to conserve energy. However, if the SRB is too large, it may cause a “traffic jam” inside the parallel I/O system with buffer disks.
[Xie and Sun, 2008a] Mainstream energy conservation schemes for disk arrays inherently affect the reliability of disks. A thorough understanding of the relationship between energy saving techniques and disk reliability is still an open problem, which prevents effective design of new energy saving techniques and application of existing approaches in reliability-critical environments. As one step towards solving this problem, we investigated an empirical reliability model, called Predictor of Reliability for Energy Saving Schemes (PRESS). The architecture of the PRESS model is given below:

Fed by three energy-saving-related reliability-affecting factors, operating temperature, utilization, and disk speed transition frequency, PRESS estimates the reliability of entire disk array. In what follows, we present two 3-dimennsional figures to represent the PRESS model at operating temperature 40 C (Figure 5a) and 50 C (Figure 5b), respectively.

Further, we developed a new energy saving strategy with reliability awareness called Reliability and Energy Aware Distribution (READ) is developed in the light of the insights provided by PRESS. Experimental results demonstrate that compared with existing energy saving schemes, MAID and PDC, READ consistently performs better in performance and reliability while achieving a comparable level of energy consumption. [Back to Top]

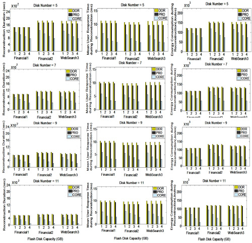
[Xie and Wang, 2008] High performance, highly reliable, and energy-efficient storage systems are essential for mobile data-intensive applications such as remote surgery and mobile data center. Compared with conventional stationary storage systems, mobile disk-array-based storage systems are more prone to disk failures due to their severe application environments. Further, they have very limited power supply. Therefore, data reconstruction algorithms, which are executed in the presence of disk failure, for mobile storage systems must be performance-driven, reliability-aware, and energy-efficient. In this project we developed a novel reconstruction strategy, called multi-level caching-based reconstruction optimization (MICRO), which can be applied to RAID-structured mobile storage systems to noticeably shorten reconstruction times and user response times while saving energy. MICRO collaboratively utilizes storage cache and disk array controller cache to diminish the number of physical disk accesses caused by reconstruction. Experimental results demonstrate that compared with two representative algorithms DOR and PRO, MICRO reduces reconstruction times on average 20.22% and 9.34%, while saving energy no less than 30.4% and 13%, respectively.

[Xie and Sun, 2008b] Contemporary disk arrays consist purely of hard disk drives, which normally provide huge storage capacities with low-cost and high-throughput for data-intensive applications. Nevertheless, they have some inherent disadvantages such as long access latencies, fragile physical characteristics, and energy-inefficiency due to their build-in mechanical and electronic mechanisms. Flash-memory based solid state disks, on the other hand, although currently more expensive and inadequate in write cycles, offer much faster read accesses and are much more robust and energy efficient. To combine the complementary merits of hard disks and flash disks, in this study we propose a hybrid disk array architecture named HIT (hybrid disk storage) for data-intensive applications. Next, a dynamic data redistribution strategy called PEARL (performance, energy, and reliability balanced), which can periodically redistribute data between flash disks and hard disks to adapt to the changing data access patterns, is developed on top of the HIT architecture. Comprehensive simulations using real-life block-level traces demonstrate that compared with existing data placement techniques, PEARL exhibits its strength in both performance and energy consumption without impairing flash disk reliability.
ECOS: An Energy-Efficient Cluster Storage System [Ruan et al. 2009a] The disks we apply in our prototype are different for the purpose of testing performance of DARAW in different devices. The traces we use are synthetic traces. The arrival rates are generated by exponential distribution. To reflect the real world cases, the traces contain burstnesses and idle time gap inside. Each burstness contains a group of requests whose arrival rates based on exponential distribution. The most appropriate time for buffer disk to dump data to data disk is during idle time gaps. Hence, we will test traces with different idle time gaps and analyse the results.



In the above figure, up to more than 20% energy could be conserved when idle time gap between each request burstness is 300 seconds or 200 seconds. When the idle time between each burstness is as short as 50 seconds, the energy conservation rate is not very obvious by using DARAW strategy to buffer data on buffer disks from energy conservation perspective. In the figure, the Sum of Request in Buffer, or SRB, is another important parameter in our experiment. According to DARAW strategy, if the number of bufferred requests which target at one same data disk equals SRB, then the targetted data disk spins up and those requests will be dumped to it. The data disk will spin down when there is no request writting on it. Basically, the larger SRB we set up in DARAW, the more energy we can conserve in the system. However, trace features also can affect the energy conservation rate. The most appropriate time of dumping data to data disks is during idle time gaps. DARAW only dumps data to data disks when SRB requirements resatisfied. If there are too many dumping operations happen during burstness, energy conservation rate will be reduced.

Because idle time gap is low which means workload is high, so dumping data operation is more likely happen during burstnesses (see the above figure). Node 2 is faster than node 1, so the dumping operations will not extend the processing time of buffer disk. In node 1, when dumping operations happen during burstness, since the disks speed in node 1 is not as fast as node 2, the buffer disk needs more time to finish dumping data during burstness. Hence, node 1 consumes more energy in this experiment. [Back to Top]
Performance Evaluation of Energy- Efficient Parallel I/O Systems with Write Buffer Disks [Ruan et al. 2009b] [Ruan et al. 2009c] To evaluate the performance of DARAW, we conducted extensive simulation experiments using various disk I/O traces representing real-world workload conditions with small writes. The trace file used in our simulation contains several important parameters such as arrival time, data size, cylinder number, targeting data disk, and arrival time.
Simulator Validation: We used synthetic I/O traces and real-world traces to validate the simulator against a prototype cluster storage system with 12 disks. The energy consumed by the storage system prototype matches closely (within 4 to 13%) to that of the simulated parallel disk system. The validation process gives us confidence that we can customize the simulator to evaluate intriguing energy-efficiency trends in parallel I/O systems by gradually changing system parameters.
For comparison purpose, we consider a baseline algorithm based on a parallel I/O system without the buffer-disks layer. This baseline algorithm attempts to spin up standby target disks upon the arrival of a request. Additionally, the baseline algorithm makes an effort to immediately spin down a disk after it is sitting idle for a period of time. Tables I and II summarize the parameters of two real-world disks (IBM 36z15 Ultrastar and IBM 40GNX Travalstar) simulated in our experiments.

The above figure plots energy efficiency and performance of the baseline algorithm applied to a traditional parallel I/O system without buffer disks. Results plotted in Fig. (a) show that the I/O load increases significantly as the arrival rate (i.e., λ) grows. For example, 1000 requests are issued to the simulated parallel I/O system within 100,000 milliseconds if λ is set to 0.01No./ms., whereas 1000 requests have arrived in the system within 50,000 milliseconds when λ is doubled.
An interesting counterintuitive observation drawn from Fig. (b) is that with respect to the baseline algorithm, the average response time of the high-performance disk (IBM 36z16 Ultrastar) is noticeably longer than that of the IBM 40GNX Travalstar - a low-performance disk. The rationale behind this observation is that the spin-up and spin-down time of IBM Ultrastar is much higher than those of IBM Travalstar. Thus, the overhead incurred by spin-up and spin-down in IBM Ultrastar is more expensive than in IBM Travalstar. Our traces contain a large number of small writes coupled with numerous small idle periods and; therefore, the overhead caused by disk spin up and spin down are even higher than I/O processing times. In other words, the overhead of spin-ups and spin-downs dominates the average response time of disk requests in the parallel storage system.
Fig. (c) shows that the total spin-up times of the Ultrastar disks is smaller than those of the Travalstar disks. We attribute this trend to the fact that the spin-up delay of the IBM Ultrastar disks is much longer than that of the Travalstar disks. Compared with Travalstar, an Ultrastar disk is more likely to serve another request during the time between a spin-up and a consecutive spin-down. As the request arrival rate λ increases, the average inter-arrival time between two continuous requests decreases. In other words, the increasing I/O load gives rise to the decreasing number of spin-ups and spin-downs. Such a trend is apparent for both the IBM Ultrastar and Travalstar disks, because high I/O load can reduce the number of idle time periods, which in turn diminishes opportunities of spinning down disks to conserve energy.
Fig. (d) depicts the energy consumption trend for the IBM Ultrastar and Travalstar disks. In what follows, we describe two important observations. First, Fig. (d) reveals that under the same workload conditions, the overall energy consumption of Ultrastar is higher than that of Travalstar. The Ultrastar disks consume more energy, because compared with Travalstar, Ultrastar not only has higher active and standby power but also has higher spin-up and spin-down energy.. Second, when the request arrival rate λ increases (i.e. heavy workload), the energy consumption is reduced for both Ultrastar and Travalstar. The energy dissipation in the parallel disk system can be minimized by a high I/O load, because a high arrival rate results in low spin-up and spin-down overhead (see Fig. c). It is worth noting that in each experiment, we fix the total number of requests (e.g, 1000). [Back to Top]
HyBUD: An Energy-Efficient Architecture for Hybrid Parallel Disk Systems [Nijim et al. 2009]
The figure below depicts a hybrid disk architecture or HYBUD containing a 2-GB flash drive, m buffer disks, n data disks, and an energy-aware flash drive/buffer disk controller. Note that the values of n and m, which are configuration on the fly, are independent of each other. A RAM buffer with a size ranging from several megabytes to gigabytes is incorporated to further improve I/O performance in HYBUD. The flash drive/buffer disk controller coordinates multiple modules, including power management, data partitioning, disk request processing, and perfecting schemes.

The 2-GB flash drive performs as a non-volatile data cache to boost I/O performance and improve energy efficiency by absorb disk traffic fluctuations. The flash drive respond to both read and write disk requests. A read miss in the flash drive causes a hit at one of the buffer disks. the block to be fetched from data disks and written into the flash memory. Write requests are served by the flash drive first. If the flash drive is full, write requests are redirected to buffer disks.
A prefetching scheme is designed to bring data into buffer disks or flash drives before its use. Apart from the prefetching scheme, we developed a write strategy to energy-efficiently handle writes using flash drive and buffer disks. The write I/O load imposed on buffer disks is well balanced by equally distributed write request to all the active buffer disks to make the utilization of all the buffer disks identical.
To improve I/O performance of buffer disks handing write requests, we chose to use a log file system that allows data to be written sequentially buffered in buffer disks to minimize disk seek times and rotational delays. We developed a buffer disk manager that is responsible for the following activities. First, the disk manager aims to minimize the number of active buffer disks while maintaining reasonably quick response time for disk requests. Second, the manager must deal with the read and write requests redirected from the flash drive in an energy-efficient way. Third, the manager has to energy-efficiently move data among the flash drive, buffer disks, and data disks.
Our preliminary results consist of developing a simulator, which meets all projects specifications and implementing all the required functions that are necessary to model our distributed system. We compared our HYBUD strategy with two baseline strategies. The first strategy is called flash strategy where only the flash memory is used to serve the requests. The second strategy is BUD strategy where only the buffer disks are used to serve the disk requests. This experiment is focused on comparing the HYBUD strategy against the two other strategies described above. We study the impacts of miss ratio on the normalized energy consumption measured in joule. To achieve this goal, we increased the miss ratio of disk request from 75 to 100.

The above figure plots empirical results when there are five disks in a parallel I/O system and the average size of disk requests is 300 MB. As the miss rate is increased, the energy consumption of the three strategies also increased. The HYBUD strategy consumes less energy than the other two alternatives strategy. We will discuss each strategy separately. When the disk request is submitted to the flash memory and if there is a miss, then the total energy cost will be the energy cost of read and the energy cost of writing the request into the flash under the assumption that this request will be frequently used in the future, and the cost of keep waking up the corresponding data disk every time the read request is made which leads to a huge energy consumption. For the BUD strategy, it consumes less energy than using only the flash memory strategy. This can be explained by the fact that the BUD strategy when miss occurs, it clusters read requests together if the disk is in sleeping mode. As a result, it provides a long disk idle times.

Finally the HYBUD strategy consumes the least energy. When the read request is submitted to the flash memory, they read request will be served immediately if the data disk is in active mode, otherwise, the read request will be written to the flash assuming that these requests will be frequently used. When the flash is full, the dirty data will be flushed to the buffer disks and all the miss requests will be clustered together, which leads to less energy consumption.
In this experiment we compared the three strategies in term of the size of data block. The above figure illustrates the impact of data size over the energy consumption for the three strategies. As the data size increases, the energy consumption for the three strategies decreases. This can be explained by the fact smaller data sizes decrease the time window in which a disk is able to sleep. In case of small data size, flash memory is no longer able to save energy, because the flash memory keep waking up the disk, which results in huge energy consumption. The HYBUD strategy can save up to 51% over the flash memory and 22% over BUD. [Back to Top]
Energy-Aware Prefetching for Parallel Disk Systems [Manzanares et al. 2009]
For our experimental results we implemented a parallel disk simulator in JAVA. The first set of experiments we conducted varied the hit rate and the data size of the requests. The hit rate in these experiments is defined as the percentage of all the requests that can be served by the buffer disk and the data size is defined as the data size of each request. We generated random disk requests and varied the inter-arrival delay of the requests. The inter-arrival rate must be fairly low to produce energy savings or disks will never be placed in the sleep state. If the inter-arrival rate is high all disks must be active to serve the requests. The results of the first set of experiments are summarized in the Figure below.

Total Energy Consumption of Disk System while Data Size is varied for four different values of hit rate: (a) 85 %, (b) 90 %, (c) 95 %, and (d) 100 % hit rate.
There are two main observations we can draw from this figure, one being that as data size increases energy savings increases, and second, as the hit rate is increased energy savings increases. As the data size increases the time to serve the request increases. If multiple requests can be served from the buffer disk than the data disks have a greater opportunity to transition to the sleep state. Similarly as the hit rate increases the buffer disk serves a greater number of consecutive hits allowing data disks to sit idle for longer periods of time. The goal of our energy-efficient prefetcher is to increase the number and length of idle periods to allow a data disk to transition to the sleep state. This can be achieved by increasing the hit rate or increasing the data size of requests. This leads us to believe that many web and multimedia applications would be suitable for our energy saving techniques.

Total Energy consumption for various values of the following disk parameters: (a) power active, (b) power idle, and (c) power standby
The second set of experiments conducted focuses on the impact that varying disk power parameters has on the energy savings. We varied the power characteristics of our simulated IBM36Z15 disk. For each figure we only vary one disk energy parameter. The number of disks was fixed at four and the data size is 25MB. From the above figure we realize that lowering the Power Active, which is the energy consumed while the disk is in the active state, will decrease the energy consumption for all the strategies we compared. Lowering Power Active also impacts the relative energy savings that the PRE-BUD strategies are able to produce. If Power Active is 9.5W PRE-BUD2 saves 15.1 % energy over DPM. If it is increased to 17.5W PRE-BUD2 only saves 13% energy over DPM. Fig. 4 (a) is similar to Fig. 4 (b) but now we see that Power Idle has a greater impact on energy savings as compared to Power Active. If Power Idle, the energy consumed while the disk is idle, is very low PRE-BUD 2 has a negative impact, but if it’s increased to 14.2 W PRE-BUD 2 now saves 25 % of energy as compared to DPM. The last set of experiments varied the Power Sleep parameter, which represents the energy consumed while the disk is in the sleep state, also has significant impact on PRE-BUD strategies. The percentage change in energy savings starts at 16.3% and drops to 11.7% with increasing Power Sleep. The results illustrated in Fig. 4 indicate that parallel disks with low active power, high idle power, and low standby power can produce the best energy-savings benefit. This is because PRE-BUD allows disks to be spun down to the standby state during times they would be idle using DPM. The greater the discrepancy between idle and standby power, the more beneficial PRE-BUD becomes. [Back to Top]
[Tjioe, Widjaja, Lee, and Xie, 2009] In a completely dynamic environment where a sub-set of files are extremely popular and receive a dominant percentage of user requests, a dynamic file assignment algorithm may no longer be helpful. The reason is that no matter where it places these hot files the load imbalance across the disks cannot be solved. In this situation, file replication techniques can be employed to make replicas for these popular files and to distribute them onto other disks. We developed a new dynamic file assignment strategy called DORA (dynamic round robin with replication), which integrates file replication techniques into file assignment schemes for a user access pattern changing environment. DORA first sorts all files according to file size. Next, it assigns the files to disks in a round-robin fashion so as to distribute the load of all files evenly across all disks. Finally, DORA dynamically keeps track of the load of all files and the load on each disk. For some extremely hot files, it then creates replicas to effectively distribute request accesses on these files across all disks in a disk array. Using extensive simulations, we evaluated the performance of DORA by comparing it with one of the best existing dynamic file assignment algorithms, C-V.

Mobile disk arrays, disk arrays located in mobile data centers, are crucial for mobile applications such as disaster recovery. Due to their unusual application domains, mobile disk arrays face several new challenges including harsh operating environments, very limited power supply, and extremely small number of spare disks. Consequently, data reconstruction schemes for mobile disk arrays must be performance-driven, reliability-aware, and energy-efficient. In this paper, we develop a flash assisted data reconstruction strategy called CORE (collaboration-oriented reconstruction) on top of a hybrid disk array architecture, where hard disks and flash disks collaborate to shorten data reconstruction time, alleviate performance degradation during disk recovery. Experimental results demonstrate that CORE noticeably improves the performance and energy-efficiency over existing schemes. Compared with DOR, CORE on average reduces reconstruction duration and mean user response time during reconstruction by 50.4% and 65.3%, respectively. In terms of energy consumption, CORE on average saves energy by 43.4%. Compared with PRO, CORE on average shrinks reconstruction duration and mean user response time during reconstruction by 48.2% and 61.9%, respectively. In addition, CORE saves energy on average by 42.5%. [Back to Top]

[Xie and Sun, 2009] The problem of statically assigning non-partitioned files in a parallel I/O system has been extensively investigated. A basic workload characteristic assumption of most existing solutions to the problem is that there exists a strong inverse correlation between file access frequency and file size. In other words, the most popular files are typically small in size, while the large files are relatively unpopular. Recent studies on the characteristics of web proxy traces suggested, however, the correlation, if any, is so weak that it can be ignored. Hence, the following two questions arise naturally. First, can existing algorithms still perform well when the workload assumption does not hold? Second, if not, can one develop a new file assignment strategy that is immune to the workload assumption? To answer these questions, we first evaluate the performance of three well-known file assignment algorithms with and without the workload assumption, respectively. Next, we develop a novel static non-partitioned file assignment strategy for parallel I/O systems, called static round-robin (SOR), which is immune to the workload assumption. Comprehensive experimental results show that SOR consistently improves the performance in terms of mean response time over the existing schemes. Experimental results show that when the distribution of access rates across the files and the distribution of file sizes were inversely correlated with the same skew parameter θ, SOR consistently improves the performance of parallel I/O systems in terms of mean response time over three well-known file assignment algorithms. Compared to SP, one of the best existing static non-partitioned file assignment algorithms, SOR obviously achieves improvement in mean response time. When the correlation between file access frequency and file size is negligible, SOR still consistently performs better when file size exhibits a uniform distribution.

References [Back to Top]
[Zong et al. 2007a] Z.-L. Zong, M.E. Briggs, N.W. O'Connor, and X. Qin, “An Energy-Efficient Framework for Large-Scale Parallel Storage Systems,” Proc. 21st Int'l Parallel and Distributed Processing Symp. (IPDPS), 8th IEEE Int'l Workshop Parallel and Distributed Scientific and Engineering Computing, Long Beach, CA, March 2007.
[Zong et al., 2007b] Z.-L. Zong, M.E. Briggs, N.W. O'Connor, X. Qin, M. Alghamdi, and Y.-M. Yang, “Design and Performance Analysis of Energy-Efficient Parallel Storage Systems,” the Commodity Cluster Symposium 2007 (CCS), Annapolis, Maryland, July 2007.
[Zong et al., 2007c] Z.-L. Zong, K. Bellam, X.-J. Ruan, A. Manzanares, X. Qin, and Y.-M Yang, “A Simulation Framework for Energy-efficient Data Grids,” Proc. Winter Simulation Conference, Washington, D.C., Dec. 2007.
[Zong et al., 2007d] Z.-L. Zong, X. Qin, M. Nijim, X.-J. Ruan, K. Bellam, and M. Alghamdi, “Energy-Efficient Scheduling for Parallel Applications Running on Heterogeneous Clusters,” Proc. 36th International Conference on Parallel Processing (ICPP), Sept. 2007.
[Ruan et al., 2007] X.-J. Ruan, X. Qin, M. Nijim, Z.-L. Zong, and K. Bellam, “An Energy-Efficient Scheduling Algorithm Using Dynamic Voltage Scaling for Parallel Applications on Clusters,” Proc. 16th IEEE Int'l Conference on Computer Communications and Networks (ICCCN), Honolulu, Hawaii, Aug. 2007.
[Zong et al., to be published] Z.-L. Zong, A. Manzanares, X. Qin, “Load-Balancing Strategies for Energy-Efficient Parallel Storage Systems with Buffer Disks.”
[Manzanares et al., to be published] A. Manzanares, K. Bellam, and X. Qin, “Energy-Efficient Prefetching for Parallel I/O Systems with Buffer Disks.”
[Xie and Sun, 2008] T. Xie and Y. Sun, “Sacrificing Reliability for Energy Saving: Is It Worthwhile for Disk Arrays?,” Proc. 22nd IEEE International Parallel and Distributed Processing Symposium (IPDPS 2008), Miami, Florida, USA, April 14-18, 2008.
[Madathil et al., 2008] D. K. Madathil, R. B. Thota, P. Paul, and Tao Xie “A Static Data Placement Strategy towards Perfect Load-Balancing for Distributed Storage Clusters," The 7th International Workshop on Performance Modeling, Evaluation, and Optimization of Ubiquitous Computing and Networked Systems (PMEO UCNS 2008), in conjunction with the 22nd IEEE International Parallel and Distributed Processing Symposium (IPDPS 2008), Miami, Florida, USA, April 14-18, 2008.
[Xie and Sun, 2007] T. Xie and Y. Sun, “No More Energy-Performance Trade-Off: A New Data Placement Strategy for RAID-Structured Storage Systems," Proc. 14th Annual IEEE International Conference on High Performance Computing (HiPC 2007), Lecture Notes in Computer Science (LNCS 3834), pp.35-46, Goa, India, December 18-21, 2007.
[Xie, 2007] T. Xie, “SOR: A Static File Assignment Strategy Immune to Workload Characteristic Assumptions in Parallel I/O Systems,” Proc. 36th International Conference on Parallel Processing (ICPP 2007), XiAn, China, September 10-14, 2007.
[Bellam et al., 2008] K. Bellam, A. Manzanares, X. Ruan, X. Qin, and Y.-M. Yang, "Improving Reliability and Energy Efficiency of Disk Systems via Utilization Control," Proc. IEEE Symposium on Computers and Communications (ISCC'08), July 2008.
[Liu et al., 2008a] C. Liu, X. Qin, and S. Li, “PASS: Power-Aware Scheduling of Mixed Applications with Deadline Constraints on Clusters,” Proc. the 17th Int'l Conf. Computer Communications and Networks (ICCCN), St. Thomas, Virgin Islands, Aug. 2008.
[Liu et al., 2008b] C. Liu, X. Qin, S. Kulkarni, C.-J. Wang, S. Li, A. Manzanares, and S. Baskiyar, “Distributed Energy-Efficient Scheduling for Data-Intensive Applications with Deadline Constraints on Data Grids,” Proc. 27th IEEE International Performance Computing and Communications Conference (IPCCC), Dec. 2008.
[Manzanares et al., 2008a] A. Manzanares, K. Bellam, and X. Qin, “A Prefetching Scheme for Energy Conservation in Parallel Disk Systems,” Proc. NSF Next Generation Software Program Workshop, April 2008.
[Manzanares et al., 2008b] A. Manzanares, D. Hamilton, and X. Qin, “The Relationship Between Software Architecture and Visual Programming Languages,” Proc. Grand Challenges in Modeling & Simulation, Edinburgh, Scotland, June 2008.
[Nijim et al., 2008a] M. Nijim, A. Manzanares, and X. Qin, “An Adaptive Energy-Conserving Strategy for Parallel Disk Systems,” Proc. the 12th IEEE Int'l Symp. Distributed Simulation and Real Time Applications (DS-RT), Oct. 2008.
[Nijim et al., 2008b] M. Nijim, Z.-L. Zong, K. Bellam, X.-J. Ruan and X. Qin, “Security-Aware Cache Management for Cluster Storage Systems,” Proc. the 17th Int'l Conf. Computer Communications and Networks (ICCCN), St. Thomas, Virgin Islands, Aug. 2008.
[Roth et al., 2008] A. Roth, A. Manzanares, K. Bellam, M. Nijim, and X. Qin, “Energy Conservation for Real-Time Disk Systems with I/O Burstiness,” Proc. IEEE Int'l Workshop Next Generation Autonomous Storage and High Performance Computing, St. Thomas, Virgin Islands, Aug. 2008.
[Ruan et al., 2009] X.-J. Ruan, A. Manzanares, K. Bellam, X. Qin, “DARAW: A New Write Buffer to Improve Parallel I/O Energy-Efficiency,” Proc. the 24th Annual ACM Symposium on Applied Computing, March 2009.
[Xie and Wang, 2008] T. Xie and H. Wang, “MICRO: A Multi-level Caching-based Reconstruction Optimization for Mobile Storage Systems,” IEEE Transactions on Computers, Vol. 57, No. 10, pp. 1386-1398, October 2008.
[Xie and Sun, 2008b] T. Xie and Y. Sun, “PEARL: Performance, Energy, and Reliability Balanced Dynamic Data Redistribution for Next Generation Disk Arrays," The 16th Annual Meeting of the IEEE International Symposium on Modeling, Analysis, and Simulation of Computer and Telecommunication Systems (MASCOTS), Baltimore, Maryland, USA, September 8-10, 2008.
[Zong et al., 2008] Z.-L. Zong, M. Nijim, and X. Qin, “Energy-Efficient Scheduling for Parallel Applications on Mobile Clusters,” Cluster Computing: The Journal of Networks, Software Tools and Applications, vol. 11, no. 1, pp. 91 - 113, March 2008.
[Ruan et al. 2009a] X.-J. Ruan, S. Yin, A. Manzanares, J. Xie, Z.-Y. Ding, J. Majors, and X. Qin, “ECOS: An Energy-Efficient Cluster Storage System,” Proc. the 28th International Performance Computing and Communications Conference (IPCCC), Phoenix, Arizona, Dec. 2009. (40%, 8 pages)
[Ruan et al. 2009b] X.-J. Ruan, A. Manzanares, S. Yin, Z. -L. Zong, and X. Qin, “Performance Evaluation of Energy-Efficient Parallel I/O Systems with Write Buffer Disks,” Proc. the 38th Int'l Conf. on Parallel Processing (ICPP), Vienna, Austria, Sept. 2009. (Acceptance Rate: 32.3%, 71/220) (40%, 8 pages)
[Nijim et al. 2009] M. Nijim, A. Manzanares, X.-J. Ruan, and X. Qin, "HYBUD: An Energy-Efficient Architecture for Hybrid Parallel Disk Systems," Proc. the 18th Int'l Conf. on Computer Communications and Networks (ICCCN), San Francisco, CA, Aug. 2009. (Acceptance Rate: 29%). (30%, 8 pages)
[Manzanares et al. 2009] BUD’09 A. Manzanares, X.-J. Ruan, S. Yin, M. Nijim, X. Qin, and W. Luo, “Energy-Aware Prefetching for Parallel Disk Systems: Algorithms, Models, and Evaluation,” Proc. the 8th IEEE International Symposium on Network Computing and Applications (NCA), July 2009. (50%, 8 pages)
[Ruan et al. 2009c] X.-J. Ruan, A. Manzanares, K. Bellam, X. Qin, “DARAW: A New Write Buffer to Improve Parallel I/O Energy-Efficiency,” Proc. the 24th Annual ACM Symposium on Applied Computing (SAC), March 2009. (Acceptance Rate: 29%) (50%, 8 pages)
[Tjioe, Widjaja, Lee, and Xie, 2009] J. Tjioe, R. Widjaja, A. Lee, and T. Xie, “DORA: A Dynamic File Assignment Strategy with Replication,” The 38th International Conference on Parallel Processing (ICPP 2009), Vienna, Austria, September 22-25, 2009.
[Xie and Sharma, 2009] T. Xie and A. Sharma, “Collaboration-Oriented Data Recovery for Mobile Disk Arrays,” The 29th International Conference on Distributed Computing Systems (ICDCS 2009), Montreal, Quebec, Canada, June 22-26, 2009.
[Xie and Sun, 2009] T. Xie and Y. Sun, “A File Assignment Strategy Independent of Workload Characteristic Assumptions,” ACM Transactions on Storage, Vol. 5, Issue 3, Article 10, November 2009.
[Lewis et al., 2010] J. Lewis*, M. I. Alghamdi*, M. A. Assaf*, X.-J. Ruan*, Z.-Y. Ding*, and X. Qin, “An Automatic Prefetching and Caching System,” Proc. the 29th International Performance Computing and Communications Conference (IPCCC), Albuquerque, New Mexico, Dec. 2010.
[Ruan, et al. 2010] X.-J. Ruan*, Q. Yang*, M. I. Alghamdi*, S. Yin*, Z.-Y. Ding*, J. Xie*, J. Lewis*, and X. Qin, “ES-MPICH2: A Message Passing Interface with Enhanced Security,” Proc. the 29th International Performance Computing and Communications Conference (IPCCC), Albuquerque, New Mexico, Dec. 2010. (40%, 8 pages)
[Qiu, et al. 2010] M.-K. Qiu, J.-W. Niu, L. T. Yang, X. Qin, S.-L. Zhang, and B. Wang, “Energy-Aware Loop Parallelism Maximization for Multi-Core DSP Architectures,“ Proc. IEEE/ACM International Conference on Green Computing and Communications (GreenCom-2010), Hangzhou, China, Dec 18-20, 2010. (Best Paper Award. 16%, 8 pages)
[Yang, et al. 2010] Q. Yang*, X.-J. Ruan*, A. Lim, and X. Qin, “Location Privacy Protection in Contention Based Forwarding for VANETs,” Proc. IEEE Globecom 2010 Wireless Networking Symposium, Miami, FL, Dec. 6-10, 2010. (Acceptance Rate: 35%, 1300/3688) (10%, 8 pages)
[Manzanares, et al. 2010] A. Manzanares*, X.-J. Ruan*, S. Yin*, J. Xie*, Z.-Y. Ding*, Y. Tian*, J. Majors*, and X. Qin, “Energy Efficient Prefetching with Buffer Disks for Cluster File Systems,” Proc. IEEE International Conference on Parallel Processing (ICPP), San Diego, CA, Sept. 13-16, 2010. (40%, 10 pages)
[Nijim, et al. 2010] M. Nijim, Z.-L. Zong, X. Qin, Y. Nijim, “Multi-Layer Prefetching for Hybrid Storage Systems: Algorithms, Models, and Evaluations,” Proc. IEEE International Conference on Parallel Processing Workshops (ICPPW), San Diego, CA, Sept. 13-16, 2010. (10%, 6 pages)
[Yin, et al. 2010] S. Yin*, M. I. Alghamdi*, X.-J. Ruan*, M. Nijim, A. Tamilarasan*, Z.-L. Zong*, X. Qin, and Y.-M. Yang, “Improving Energy Efficiency and Security for Disk Systems,” Proc. 12th IEEE International Conference on High Performance Computing and Communications (HPCC-10), Melbourne, Australia, September 1-3, 2010. (Acceptance Rate: 19%, 58/304) (40%, 8 pages).
[Liu, et al. 2010] Z. Liu*, F. Wu, X. Qin, C.-S. Xie, J. Zhou*, and J.-Z. Wang*, “TRACER: A Trace-Replay Based Load-controllable Scheme for Evaluating Energy-efficiency of Mass Storage Systems,” Proc. IEEE International Conference on Cluster Computing (CLUSTER), Heraklion, Crete, Greece, Sept. 20-24, 2010. (40%, 10 pages)
[Qiu, et al. 2010] J. Li, M. Qiu, J. Niu, W. Gao, Z. Zong, and X. Qin, “Feedback Dynamic Algorithms for Preemptable Job Scheduling in Cloud Systems”, Proc. 2010 IEEE/WIC/ACM International Conference on Web Intelligence, pp. 561-564. Toronto, Canada, Sep. 2010. (10%, 4 pages)
[Wang, et al. 2010] P. Wang*, Diqing Hu, C.-S. Xie, J.-Z. Wang*, and X. Qin, “A Fine-grained Data Reconstruction Algorithm for Solid-state Disks,” Proc. the 5th IEEE International Conference on Networking, Architecture, and Storage (NAS), July 2010. (Acceptance Rate: 24%, 43/178) (20%, 8 pages)
[Xie, et al. 2010] J. Xie*, S. Yin*, X.-J. Ruan*, Z.-Y. Ding*, Y. Tian*, J. Majors*, A. Manzanares*, and X. Qin, “Improving MapReduce Performance via Data Placement in Heterogeneous Hadoop Clusters,” Proc. 19th International Heterogeneity in Computing Workshop, Atlanta, Georgia, April 2010. (40%, 8 pages)
[Zong et al., 2011] Z.-L. Zong, A. Manzanares, X.J. Ruan, K. Bellam, X. Qin, “Heat-Based Dynamic Data Caching: A Load Balancing Strategy for Energy-Efficient Parallel Storage Systems with Buffer Disks.” Proc. the 27th IEEE Symposium on Massive Storage Systems and Technologies: Research Track (MSST), May 2011.