ESMD Course Material : Fundamentals of Lunar and Systems Engineering for Senior Project Teams, with Application to a Lunar Excavator

Contact: David Beale, dbeale@eng.auburn.edu

Home
Chapter X
Lunar Engineering Handbook
Chapter 1
Chapter 2
Chapter 3
Chapter 4
Chapter 5
Chapter 6
Chapter 7
Chapter 8
Chapter 9
Additional Resources
Contact Info
About the Authors
Comments





Chapter 5: The Lunar Environment and Issues for Engineering Design

David Beale

Contents

  1. Chapter 5: The Lunar Environment and Issues for Engineering Design
    1. Gravity, the Lunar Vacuum and Pressure
    2. The Lunar Day and Night
    3. Radiation
      1. Electromagnetic and Particle Radiation (Smithers, 2007; Tribble, 2003)
      2. Ionizing Radiation
      3. Radiation and Survivability
    4. Surface Temperature
    5. Micrometeoroids
    6. Regolith
      1. General Characteristics
      2. Other Physical Properties of Regolith
      3. Chemistry
      4. Geotechnical and Engineering properties
      5. Regolith Simulants
    7. Summary of Lunar Resources
    8. References
    9. DRAFT  APPENDIX – SOIL AND ROVER FORCE CALCULATIONS

 

The moon is a challenging place for human survival and equipment.  There is no free water (except for the possibility of water-ice at the lunar poles), essentially no atmosphere and pressures of a hard vacuum (<10-6 mm Hg).  There are severe temperature fluctuations, lethal radiation and a fine lunar dust that is a concern for lunar base activities.  The terrain of the moon consists of common earth features including craters, mountains, ridges, and plains.  Volcanic activity has long since ceased.  Micrometeoroid activity is very prevalent.  There is some seismic activity due to moonquakes (the largest ever recorded was an earth equivalent magnitude of 4).  The designer of any environmentally-exposed component, structure or system must be aware of all the environmental stressors, and account for their effects by translating the environmental conditions to requirements in the systems engineering process.  

Yet despite being so inhospitable, the environment does provide many of the in-situ resources to build and sustain a lunar base.  The most important resources are sunlight and the lunar dirt called regolith.   The sunlight is a source for thermal power and conversion to electrical power.  The regolith can be processed to extract 1) oxygen for breathing, water production and fuel, 2) hydrogen for fuel and water production and 3) metals for construction.  Regolith can also be used as a building material for roads, berms, habitats, garages, landing pads, etc. 

The Lunar Sourcebook (Heiken, Vaniman, & French, 1991) is the source of  most of the information presented below.  Other useful references are the Lunar and Planetary Institute  (LPI, 2008), which has Apollo Mission summaries, information on lunar samples and Apollo documents describing the Apollo mission equipment, including Lunar Roving Vehicles (LRVs) and landing modules. There are many photographs, maps, reports and information about lunar samples.  The Moon (Schrunk, 2008) and The Lunar Base Handbook (Eckart, 1999) contain chapters on these and other lunar topics.

Gravity, the Lunar Vacuum and Pressure

Gravitational acceleration on the moon’s surface is 1.622 m/sec2, or about 1/6 that of earth. Weights of everything will be 1/6 that of the same object on earth, hence loaded structural members and mechanisms for supporting or lifting loads can be made smaller and lighter.  Lighter weights mean that vehicles will have less available maximum tractive force than on earth for the same mass vehicle.  Of course inertia forces (that is forces due to linear and rotational accelerations) will still be present.   

Light gases, like hydrogen, are heated to velocities sufficiently high enough to escape the gravitational pull.  Most gases are eventually removed by the solar wind.   As a result there is essentially no atmosphere to create an atmospheric pressure on the surface, as we experience on earth from pressure created by the weight of the column of air above us.  The atmospheric pressure on the surface of the moon was measured at ~1x 10-12 mm Hg (760 mm Hg = 1 atm= 1.01E5 Pa = 101 kPa), which is so little pressure that the moon can be considered a hard vacuum.  This is a pressure that can only be achieved on earth in special vacuum chambers.  

Without an atmosphere micrometeoroids are able to reach the surface at high speeds.  Without an atmosphere the sun’s radiation is more intense than on earth, and particularly harmful types of radiation reach the surface. Organic materials can outgas and release volatile chemicals when exposed to low pressure.  These volatiles often become unwanted thin film deposits on nearby surfaces.   Despite the vacuum atmosphere there is significant concern about atmospheric pollution created by lunar missions and a lunar base.   Emitted gases can accumulate and pollute what atmosphere is there, which could degrade the performance of scientific instruments or manufacturing processes that require a vacuum.

Humans require a pressurized environment for survival functions such as proper breathing and coughing.  Living quarters will effectively be pressure vessels that may be pressurized up to 1 atmosphere, but at least .26 to .3 atmospheres.   Space suits may have pressures less than one atmosphere to improve their mobility (Jablonski & Ogden, 2008). 

The thin atmosphere offers little thermal insulation, so temperatures can drop quickly at night, and rise quickly due to the sun's radiation during the day.    Powerful radiation from sunlight on one side of an object, and shadow on the other will create a large temperature gradient.  A  "thermal shock" can follow, where different parts of an object thermally expand by different amounts, leading to large potentially failure-inducing strains.  The effect of thermal shock is more pronounced in brittle materials such as glass, ceramics or metals below the glass transition temperature (ductile-brittle transition temperature for metals). 

We are all familiar with convective heat transfer used to cool or heat earth-based mechanical and electrical components with blowing air.  This method is not available for controlling large temperature swings in environmentally-exposed equipment because of the lack of an atmosphere.  Systems requiring thermal control must rely on innovative thermal control techniques.  

The Lunar Day and Night

Except near the poles the lunar day is 29.5 (earth) days long, with the night lasting about 14-15 days and daylight (from sunrise to sunset) also about the same.  The Apollo missions operated on the lunar surface only during daylight.  A lunar year is the same amount of time as an earth year.  Very close to the poles, lunar daylight increases beyond 14-15 days.  At the poles the sun’s elevation varies between +/- 1°32’ above and below the horizon, and night and day each last ½ earth year. For ½ the year at the poles the sun is barely above the horizon.  For the other half the sun is barely below the horizon.  

Figure 1 shows the orbit of the moon around the earth.  The arrow on the moon is fixed to the moon, demonstrating that the moon always shows the same side to the earth; hence the moon’s rotation is said to be “gravitational-locked” to the earth. The opposite side of the moon (aka the “darkside”) is not always dark and does see sunlight, but is never visible from the earth. 

moon phases

Figure 1   Revolution of the moon around the earth (Heiken et al., 1991)

Radiation

Radiation encompasses more than electromagnetic wave radiation, which is classified and characterized by a wave and its frequency, and includes visible light.   A second form of radiation is energized particulate radiation.  The more energetic radiation of both forms will not just affect the surface of a material, but can also affect material below the surface.  Strong radiation can also ionize material in its path and degrade material properties; this is called ionizing radiation.  The materials and equipment that are used on the moon must be able to survive in the radiation environment or else be protected in order to complete the mission.  Special environmental effects chambers are available at NASA that can be used to expose materials to expected lunar dosages for testing.

Electromagnetic and Particle Radiation (Smithers, 2007; Tribble, 2003)

 The electromagnetic wave spectrum of electromagnetic radiation includes - in order of increasing frequency - radio, microwave, terahertz, infrared, visible light, ultra-violet, x-ray and gamma rays.   Most of this radiant energy comes from the sun and creates radiation heat when striking an object. This radiation is the source of solar power.  It strikes the moon with an average energy density of 1360 W/m2.   Some of this radiation can be damaging, such as ultra-violet (UV) light, which will chemically degrades polymer-based material like plastics and composites.  UV, X-rays and gamma rays are strong electromagnetic ionizing radiation, and they possess enough kinetic energy to strip electrons off atoms.  Shading can be an effective strategy to protect some susceptible materials from weaker radiation, but high energy radiation may go through thin shades.   Metals are not degraded chemically, but direct sunlight will create significant increases in temperature causing thermal expansion. 

The other form of radiation is particle radiation, made up of electrons, protons, neutrons, helium nuclei and heavy ions.  High energy charged particle radiation can also be ionizing.

Ionizing Radiation

Charged particle energy is measured in electron volts (eV) per particles, and the higher the energy the more potentially damaging the particle is to anything exposed, including humans.  The major components of particle ionizing radiation on the moon are from solar windssolar cosmic rays from solar particle events (SPE), and galactic cosmic rays (GCR).  Each type has a characteristic energy level measured in electron volts (eV).  The higher the eV a particle has, the greater the damage, and similarly the thicker the shielding required (although the most effective shielding depends on the kind of radiation).   The lack of an atmosphere on the moon allows ionizing radiation to strike anything on the lunar surface.  Hence protection is often required, unlike on earth where our atmosphere serves that function.  In addition to ionizing particles, the ionizing solar electromagnetic radiation consists predominantly of vacuum UV. 

Solar Wind

Solar Wind is a steady stream of nuclear particles continuously emitted by the sun.   It is considered to be a plasma, which is a mixture of electrons and positively-charged atoms (ions) from which the electrons have been stripped.  The winds are composed mostly of low to mid-range energy protons (10 keV/nucleon), along with helium ions and electrons.  Solar wind travels at 300-700 km/s.    The wind itself is electrically neutral.  It is not considered to be particularly damaging because of its low energy.   Solar winds have steadily bombarded the surface of the moon for billions of years, implanting valuable and easily recoverable volatile elements into the regolith.  Plasma can charge a spacecraft to high electric potentials, leading to possible arching.  Methods have been developed to ground the spacecraft to prevent charge buildup (Tribble, 2003).

 Solar Cosmic Rays from Solar Particle Events (SPE)

SPE are from solar flares, which are violent explosions on the sun, lasting only minutes and whose frequency peaks on an 11 year cycle.  They consist of a burst of electrons and protons with high energies (>10MeV) that can arrive in as little as 20 minutes after a solar flare.  A large flux can arrive in a short period of time, and is lethal to humans and damaging to exposed electronic equipment.  Humans and sensitive electronic equipment need to be moved to a radiation-shielded protective safe area such as a regolith-covered shelter.  A warning system would be installed, since solar flares can be seen by sun monitoring telescopes before the radiation reaches the moon.   Associated radio bursts may interrupt communications.

Galactic Cosmic Rays (GCR)

GCR are very high energy ions (GeV/nucleon), and including heavier nuclei equal to or smaller than 26 (iron).  GCR come from outside the solar system and are considered to be remnants of the Big Bang.  Their flux is low and constant.   GCR and SPE can burrow into material, and their tracks can be seen under the microscope in regolith particle. 

Radiation and Survivability

For the astronaut and other biological systems, a simple space suit is not adequate in the event of a life-threatening SPE.  Solar cells, made of photovoltaic semiconductors, are directly exposed and are degraded by time exposure to both ionizing and electromagnetic radiation.  SPE damage on solar panels can be reduced by preemptively shielding.    Exposed organic material will be degraded by Ultra-Violet light, but could be coated with a UV blocker like a sunscreen or other coating.  Integrated circuits and electronics can also be damaged by ionizing radiation, but this may be circumvented by rerouting electrical flow paths around the damaged circuit elements.  SPE can be so strong that a metal protective housing may have to be unrealizably thick to be completely effective.  In the case of SPE events the humans and equipment are effectively shielded by at least 2m -5m of regolith.  The most effective materials for shielding SPE particles contain hydrogen, such as polyethylene and water.  Design of shielding for equipment should involve a trade study, comparing all the alternative shielding methods, their cost and the risks involved.   SPE can be a concern when sensitive electronics and equipment far from a regolith shelter become trapped in an SPE. 

The radiation dose is the amount of radiation deposited, measured in Rad.  The damage threshold depends on the material (Tribble, 2003).

Table 1  Damage thresholds of certain materials

Material

Damage Threshold (Rad)

Biologic matter

101 - 102

Electronics

102 – 106

Lubricants, hydraulic fluid

105 – 107

Ceramics, glass

106 – 108

Polymeric Material

107 – 109

Structural Metal

109 – 1011

 

Specific materials radiation resistance is shown in Table 1.  Biologic matter and electronics are most severely affected and so require the most protection.   Radiation can strongly affect and degrade the performance of semiconductors components, such as transistors and diodes.  Solar cells are diodes that convert light energy to electrical, each cell producing potential difference of 1 volt and a few mA of current.  Both current and voltage, and hence power output, are reduced with radiation dose.  Designers must take into account that solar cell efficiency will decrease as the dosage increases, by oversizing the solar cells so that they will provide the needed power for a chosen lifetime.   Transparent coverslides have been used for solar cells to absorb and protect against radiation.   Indium arsenide solar cells are more resistant than gallium arsenide solar cells, which are more resistant that silicon solar cells.

In electrical components ionizing radiation can cause tiny current spikes because the process of ionization can bump an electron from a lower valence to a conducting electron.  As electronics components, such as microprocessors and microcontrollers, have gotten smaller the effect of ionizing radiation and the susceptibility of those devices from a single particle has been more pronounced.     If radiation causes a memory device to flip a bit, it is called a single event upset (SEU).   Power MOSFET transistors can burnout.  Given the expected environmental dosage of radiation, there are software routines that can calculate dose versus depth of shielding for each type of radiation (Conley, 1998), (Tribble, 2003).  Electronics can be “radiation-hardened” by selecting more expensive semiconductors that are designed to be resistant to single events caused by radiation, and through circuit design.  Sensitive material can also be protected with an additional layer of shielding.  

Many materials and electronic components have been tested in space environmental chambers, and data is available for the designer.   If a non-electronic test sample is put in chamber and exposed, a follow-up tensile test is often a good measure of strength loss.  Figure 2 shows the radiation resistance of the range of materials based on dose.  Polymers are the most degraded, and metals the least.   Plastics polymerize, capacitors can discharge, steel can embrittle, etc.  Basic metals exposed to SPE can darken, which affects the thermal properties. 

Charged particle radiation testing of materials can be performed on a Pelletron accelerator that can produce a beam of 250 keV electrons, and a positive ion accelerator.  Gamma radiation testing can be performed with a radioactive Cobalt-60 source placed nearby to radiate the test material.  Vacuum UV testing requires a deuterium arc lamp.

Figure 2 Relative radiation resistance of materials, Teflon is least resistant, Aluminum most resistant (Conley, 1998)

Surface Temperature

The sun is the primary source that heats the moon.  Surface temperatures will vary with lunar latitude, longitude and time of day.  The temperature also changes with depth below the surface.  The lunar surface heats up and cools much faster than earth's surface.  Significant temperature differences can exist across a boundary between shadow and sunlight.

The moon absorbs most of the light that falls on it, causing the regolith temperature to rise substantially during the day.  The moon’s average albedo (the fraction of visible electromagnetic radiation reflected by the surface of a material) is only 0.07 - .10, which makes it as absorptive as black paint (Heiken et al., 1991). Thus the sunlit regions of the lunar surface have very high surface temperatures.   

 Table 2 shows day and night temperature extremes of  various lunar locations.  Just as on earth, the sun produces the highest daytime highs near the equator, where the regolith surface temperature can reach over 250°F.  Lunar surface temperatures increase 280°K near the equator from the low just before dawn to the high at noon (Heiken et al., 1991).  Progressing down the table from the "Equator" row, we see that as the latitude progresses from the equator to the poles,  the daytime high decreases while the nighttime low increases.  At the poles the sun rises a maximum of 1.6 degrees above the horizon, causing daytime temperatures there to be much less than at the equator. Because craters can be deep and have steep walls, it is possible that the regolith in dark polar craters never sees sunlight and is always in the shadows.  This leads to a nearly constant and extremely low temperature of about 40 degrees Kelvin.  Sensor data from the Lunar Prospector orbit of the moon in 1998 indicated the presence of hydrogen inside dark polar craters (which may take the form of hydrogen or water ice).   

Table 2  Lunar surface temperatures based on location  (all from Heiken, 1991)

temperatures

The temperature of an object just above the surface of the moon where near vacuum conditions exist is an interesting question.  Temperature is a measure of the vibrational energy of the molecules of an object. Therefore the vacuum of space, unlike the air that surrounds us, cannot have a temperature.  In an isolated vacuum chamber - with the walls at a particular temperature being the only radiation source - an ideal thermometer (which itself is an object made up of matter) will display the temperature of the surrounding walls.   Now consider the vacuum "chamber" of space; space is filled with radiation energy that raises an object’s temperature like the walls of the isolated vacuum chamber.  In our solar system that radiation energy is mostly particles and waves from the sun, although the moon and the earth also radiate energy.  When the sun is blocked such as at night, then the moon and earth radiation are the most significant sources of radiation energy.  Anywhere in space, any object will assume an equilibrium temperature where the power it radiates (which is proportional to T4 of the object and is thermal infra-red) balances with absorbed power that was radiated by nearby celestial bodies and other objects (see the Thermal Control chapter for temperature of the moon, earth and sun).   If the body is attached to the lunar surface, conduction of heat from the lunar surface must also be included.   For a detailed description of the lunar thermal environment and calculation methodologies, refer to the chapter on Thermal Control.

Equipment designers should be concerned with an extreme temperature gradient that occurs when one part of a device is exposed to the sun and the other in shade (Imagine a vehicle exposed to the light of the setting sun).  The large heat flux can create a significant thermal control problem.  Radiation is dependent upon the surface properties of absorptance and emittance.   All heat absorbed by an object on the moon is conducted to cooler parts of the object and its supports, and also radiated back to space.  Large thermal gradients caused by one side of an object in sunlight and another side in the shade can cause high thermal stresses, strains and distortions in devices with redundant load paths.  Satellites can roll like a rotisserie, but lunar equipment may not be able to roll.  Thermal fatigue can occurs from many high temperature/low temperature strain cycles.  Consider mating parts made with materials with low or similar coefficients of thermal expansion.  Thermal swings can damage electronics.  Outgasing of materials and lubricant is also increased with temperature, so design so lubricants do not evaporate and polymer seals are thermally protected.   Low temperatures can cause certain materials to become brittle and loose ductility.  Be aware of component and material operating temperature range (e.g. the ductile-brittle transition temperature for metals and the glass transition temperature for composites) and design to operate in that range.

Micrometeoroids

Micrometeoroids are meteoroids (naturally occurring solid bodies traveling through space) that are less than 1mm diameter, and based on their average density their mass will be less than .01 g. Probability of impact and risk is difficult to assess, but a 1 milligram micrometeoroid could hit larger facilities and equipment.  Even though small, the high impact speed of 13-18 km/sec can make micrometeoroid impact damage a concern, so it must be a design consideration.  The damage may not be just small pitting.  Penetration thickness and crater depth of an impact can be estimated using empirical formula for certain materials presented in (Elfer, 1996) as a function of impacted material density, thickness, impact particle mass and speed.   It can also be tested with hypervelocity impact guns at test facilities.  If occurring at low temperature brittle fracture may occur for some materials.  Thin metallic sheets might perforate.  However just a few millimeters of a tough composite material is estimated to provide sufficient protection from these micrometeoroid impact in the 1 milligram range (Heiken et al., 1991).   Although larger impacts caused by larger micrometeoroids do occur, they are infrequent.   Lunar habitats and garages will have to be designed to protect against even the larger micrometeoroids. 

Regolith

General Characteristics

Neil Armstrong, as he stepped onto the moon, stated

“the surface is fine and powdery.  I can pick it up loosely with my toes.  It does adhere in fine layers like powdered charcoal to the sole and sides of my boots.  I only go in a small fraction of an inch.  Maybe an eighth of an inch, but I can see the footprints on my boots and the treads in the sandy particles”

     The moon’s surface is almost entirely covered in a thin layer with lunar dirt and dust and rock fragments, together called lunar regolith.  During the Apollo missions, fine particles of this dust were found coated on equipment surfaces and infiltrating joints of mechanisms. 

Astronaut Alan Bean stated

“After lunar liftoff . . . a great quantity of dust floated free within the cabin. This dust made breathing without the helmet difficult, and enough particles were present in the cabin atmosphere to affect our vision. The use of a whisk broom prior to ingress would probably not be satisfactory in solving the dust problem, because the dust tends to rub deeper into the garment rather than to brush off”  (Bean et al.., 1970).

    Apparently lunar dust was brought into the lunar excursion module with items that had been exposed to the regolith when they passed through the airlock.  The dust coated internal surfaces and floated in the cabin atmosphere.  It adhered to space suits, hand tools, optical equipment and mechanical equipment with moving parts. The dust impaired the proper operation of seals and lubricants used on various mechanisms.  Exposed optical equipment, such as camera lenses and mirrors, was adversely affected by its accumulation on optical surfaces.   It is anticipated that solar cells that rely on the photoelectric effect will be less efficient once coated with regolith. Characteristics of the lunar dust that led to these adverse effects - such as electrostatic charge and small and angular particles, and others – are discussed below.

Lunar regolith refers to all the fragmented rock material that covers the moon.  Lunar soil is technically regolith excluding rocks larger than 1 cm in size.   Lunar dust is technically defined as having particle sizes less the 20 μm with a bulk density of 1.5 g/cm3.

The thickness of regolith layer depends on the region and the geologic features.   It is estimated to be 4-5 meters thick in mare regions (lunar planes) and 10-15 m in older highland regions (plains of higher elevation than the mare).  On steep crater wall there may be little or no regolith.  Regolith has two zones.  The first few centimeters to tens of centimeters is well mixed or “gardened” zone, from the churning of repeated micrometeoroid strikes. 

The material is strikingly different than earth soil in appearance and method of formation.  Examination under a microscope revealed it to be made up of a significant amount of very sharp and angular particles.  Lunar soils are far more abrasive than earth soils.  Earth soils are created by the forces of wind and water, eventually breaking large rocks into small particles, and also causing a mechanical rounding of the particles.   Without water and wind other mechanisms had to be at play to create lunar soil.  Geologist now believe that the lunar soil was formed over time by the impact of large and small meteoroids and the steady bombardment of high speed micrometeoroid. This continually broke rock fragments to smaller particle sizes, although lunar soil may have lots of variation of particle sizes.  Older soils usually have more of the finer (smaller) particles because they have been subjected to more impacts.  Billions of years of the impacts churned and mixed the soil.    

Microscopic inspection of regolith reveals that it is made up of a combination of mineral fragments (minerals possess a characteristic chemical composition, a highly ordered atomic structure and specific physical properties), glasses (visible without distinct grains and without a highly ordered atomic structure, that are often sharp and abrasive like broken glass and lead to the abrasiveness), lithic fragments(pieces of broken lunar rock which also contains minerals) and agglutinates (which are small (<1 mm) lunar regolith particles bonded together with glass, Figure 3).   The minerals are usually silicates and oxides, which both contain a significant amount of oxygen.  To extract that oxygen may require high temperature processes and associated high energy input.

Lunar regolith can have a high percentage of agglutinates.  Agglutinates were formed by the melting and mixing that occurred when a micrometeoroid(s) struck regolith at very high speed, with impacted regolith and micrometeoroid partially melting and refreezing together.  Interestingly, these are very abundant (up to 60% of lunar soil), which must imply a lot of micrometeoroid impacts have happened on the moon.  They also contain a significant amount of pure iron droplets.  Agglutinates are a significant contributor to soil strength and soil characteristics when digging, creating berms, building structures, etc.  The presence of free and magnetic iron has led some to propose "magnetic vacuuming" as an excavation technique, and also "microwave sintering" for consolidating regolith for roads and landing pads.       

Regolith also contains a significant amount of implanted solar-wind elements, including hydrogen and carbon.  These are considered to be easily extracted by mild heating of regolith.

 

Figure 3 Agglutinates, optical and electron microscope photographs

Other Physical Properties of Regolith

Electrostatically Charged

Lunar dust carries an electrostatic charge, implanted by the solar winds, that allows it to stick to anything that is not grounded.  The smaller particles adhere to space-suits, tools, equipment, polished reflectors, solar cells and telescope lenses.  Easily disturbed by landing and launch vehicles the small particles are thrown great distances so methods are required to limit the spread.   The lunar dust will erode bearings, gears, and other mechanical mechanisms not properly sealed.  It will be difficult to disconnect and reconnect electrical, fluid and mechanical connections without dust contamination.  Also, because the lunar dust is very dark, a thin layering on radiator elements can significantly raise the normal solar absorption of these elements.  Because it is abrasive it can damage sensitive equipment and/or affect performance. It may stick with greater force to some materials than others.  Measures must be taken to reduce the layering of lunar dust on equipment, such as by covering when not in use, or using specialized equipment designed for the purposes of dust removal. 

Free Radicals

There is some discussion that the regolith may contain free radicals, which are atoms or molecules with unpaired electrons which make them highly reactive. 

Conductivity

Regolith has very low electrical and thermal conductivity, and low dielectric loss.  The low electrical conductivity allows it to accumulate electrostatic charge, and does so from the effects of UV radiation.  The DC conductivity ranges from 10-14 mho/m when sunlit to 10-9 mho/m in darkness.   For this and other reasons radio transmissions should easily penetrate 10 m of lunar soil (Heiken et al., 1991).

The low thermal conductivity makes lunar soil an excellent thermal insulator.  Thermal conductivity was measured to be 1.5x10-5 W/cm2 for the top 1-2 cm.  Conductivity increases with bulk density; at 5-7 cm the conductivity increases 5 to 7 times from the surface. This low conductivity means that buried habitats may need to be reject waste heat because of the thermal resistance of the regolith walls. Thermometers used to measure the temperature at 80 cm depth showed no temperature variation from day to night, measuring a constant 250 and 252K at two locations in the Apollo 15 landing area (Figure 4).  Due to the low thermal conductivity of the lunar surface, shadowed areas of the surface can reach extremely low temperatures very quickly.  

temperature with depth

Figure 4. Temperature ranges during the day, as a function of depth (Heiken et al., 1991)

Chemistry

Lunar rocks (originating from broken bedrock) and regolith contain minerals.  Only a limited number of minerals are found on the moon, and the more common minerals on the moon are also found on the earth.  Minerals found on the moon include the silicates, which have silicon and oxygen atoms in their molecule, along with other elements such as Calcium, Iron, Sodium, Magnesium and Aluminum.  Oxide minerals all have oxygen in their molecule, along with elements such as Chromium, Titanium, Aluminum, Iron and Magnesium. 

Regolith is chemically different from lunar rocks, and is considered a more valuable resource.  Chemical composition of regolith from Apollo and Luna mission samples are presented in Figure 5 (Note that the elements are by convention presented by their oxide formulae).  The average mass percentage of major constituent elements in lunar regolith in the lunar highlands is 45% oxygen, 21% silicon, 13% aluminum, 10% calcium, 5.5% magnesium, 6% iron with less than 1% titanium, sodium and sulfur.  Many chemical processes have been proposed to extract oxygen and other elements from regolith, some of which require extremely high temperatures to melt the regolith (Schrunk, 2008).   Applications for these elements on a sustainable lunar base include:

o   Oxygen for air and water production, and as an oxidizer in rocket propellant.

o   Hydrogen for fuel and water production

o   Aluminum, titanium and iron for structures and machinery, as a reflective or coating metal, possibly as a rocket fuel. 

o   Aluminum for electrical wire

o   Silicon for fiber optic cable, solar cells, computer chips

o   Sulfur for lunar cement (to be mixed with regolith as aggregate to form lunar cement)

chemical composition

Figure 5. The chemistry of lunar regolith at different locations (Heiken et al., 1991)

Other volatile elements called solar-wind-implanted element exist on the regolith, but in lesser amounts.  Other than the dark craters, hydrogen only occurs as a solar-wind-implanted element that penetrate and are embedded a short depth (a few hundredths of a micrometer) into the surface of particles of exposed regolith.  The most abundant element from the solar winds is hydrogen, followed by helium. Carbon and nitrogen are also solar-wind-implanted elements, along with noble gases helium, neon, argon, xenon and krypton. The concentrations of H, C and N are believed to be quite low (less than 100 micrograms/gram) and only in the lunar soils. It is estimated that excavating 10cm deep, .7 km2 area would produce 1 ton of H (based on 50 mg/g regolith) (Eckart, 1999).  One km square of regolith, 2m deep could produce 1.5 million liters of water (Eckart, 1999).  Solar-wind-implanted elements are volatiles that can be removed by moderate heating (up to 700 degrees C).  The dark craters at the poles do have significantly higher concentration of hydrogen, possibly as water-ice.  A future mission will determine the nature of the hydrogen present in dark lunar craters.

3He (helium-3) is another trace element planted by solar winds in extremely low concentrations, with potential use for commercial fusion power.  Many other elements exist in trace amounts, see the Lunar Sourcebook if interested. 

Geotechnical and Engineering Properties

Geotechnical properties include information about the particle size and distribution, bulk density and relative density.  Engineering (soil mechanics) properties include parameter values that can be used to predict soil behavior and forces expected from the digging tool in order to size the frame, bearings, motors, and mechanisms of an excavator.    Engineering properties include cohesion and internal friction angle, although the mathematical models have been poor predictors of excavation forces (Willman & Boles, 1995).      

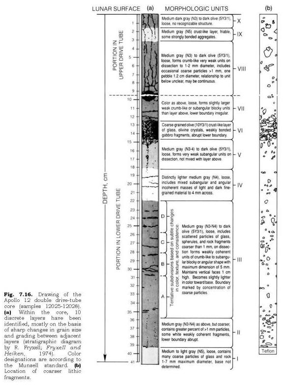
Samples of regolith were collected by astronauts during the six Apollo moon landing missions (Apollo 11, 12, 14, 15, 16 and 17) and Luna 24.  Over 300 kg of samples were collected, brought back to earth and studied.  The dirt was collected in a variety of ways, including coring (Figure 6 and 7) to collect subsurface samples with a drill and drill-stem corer (Figure 8).  More sample cores can be viewed athttp://www.lpi.usra.edu/lunar/samples/index.shtml#soils.  At the surface regolith has a significant amount of extremely fine particles of lunar dust.   Lunar dust is so small that it cannot be seen with the human eye, and it constitutes about 10-20%  by weight of the soil.  The mean regolith particle size is between 40-100 mm.  The largest “particles” in the regolith are rocks up to .8m diameter.   How did the regolith particles get so small?  Repeated micro-meteoroid impacts over a long period of time are believed to have ground it down to this size.

Lunar Sourcebook core 

Figure 6.  Drawing of 41 cm of a core sample returned to earth by Apollo 12  (Heiken et al., 1991).

Core samplecore sample, deeper  

Figure 7  Photographs of a core sample, 0-3 cm depth on left, 13-15 cm depth on right (LPI).

Figure 8. Core tube sampler (Heiken et al., 1991)

The particle size increases with depth below the surface.  These particles are described as being sharp, jagged, and extremely abrasive, like broken glass.  Drilling into the regolith the average particle size will increase, until the drill eventually hit bedrock if one digs deep enough. 

The bulk density (weight of soil per unit volume) at the surface is approximately 1.3 g/cm3 (water is 1 g/cm),  increases rapidly to 1.52 g/cm3  at a depth of 10 cm, then more gradually to 1.83 g/cm3  at a depth of 100 cm.  Thereafter, the density asymptotically approaches a value of 1.92 g/cm3.   The soil is not as dense a solid rock because of the presence of voids between the particles.   The density of a typical soil particle or lunar rock is about 3.1 g/cm3

Relative density rR is a measure soil particle packing.  Void ratio e is the volume of void space between particles divided by the total volume.  Relative density is a percentage scaling of the range from minimum to maximum void ratio as defined by the equation:

Relative density increases rapidly for the first 5-10 cm to a very high relative density. Relative densities of lunar soils vary from 65% near the surface to over 90% below 30 cm.   Relative density of a given soil can be increased by low-amplitude vertical shaking,  causing the soil particles to settle due to gravity to a more tightly packed arrangement.   The soil will continue to increase in bulk density with time on the shaker, until it reaches a limiting bulk density.  At 100% relative density the particles have oriented and packed preferentially into the tightest (most dense) packing possible, i.e. it is "well consolidated".  Even when densely packed, the regolith is still very porous, i.e. having lots of void space between the particles, in fact it can be up to 50% void space.  Lunar soils are very densely packed when compared to earth soils; the cause of this effect is again attributed to continuously micrometeoroid bombardment that continuously churns the top soil, while shaking and increasing the relative density of the soil below.  The relative density affects properties such as thermal conductivity, seismic velocity, shear strength, compressibility and dielectric constant.  The depth of penetration of LRV was related to the relative density, the average depth being 1.25 cm.  When walking on the surface, astronaut Buzz Aldrin noted that the soil at the surface was soft, but there was a much firmer stratum at a shallow depth. 

Strength of lunar soils is may be explained by Mohr-Coulomb equation:

τ is the shear strength (kPa), c is cohesion, φ is the friction angle and σ is the normal stress.  Parameter values for c and φ can be determined by standard soil mechanics tests.   By soil mechanics convention σ positive when in compression.  Shear strength increases with normal or confining stress, which is expected since particles become more interlocked.   Shear failure can be imaged as one plane sliding on another when the sliding forces exceed the limiting values of static friction. Cohesion c represents the soil shear strength when there is no confining pressure, and lunar soils have large cohesion compared to earth soils.  Distinct astronaut footprints are evidence of nonzero cohesion (Figure 9).

 If a Mohr’s circle representation of a stress state (plotted in the τ- σ plane) is below the line defined by the equation, then the soil should not fail.  The Mohr-Coulomb equation is also used for brittle materials, and is used to predict the failure of lunar soils under simple load conditions.   Friction angle and cohesion increase with depth in lunar soils, and are shown in Figure 11.  This is not unexpected, given that lunar soils have better packing (higher relative density) with greater depth.  The shear strength is needed in the analytical prediction of the ultimate bearing capacity, slope stability and trafficability (the capacity of a soil to provide sufficient traction for movement).    Excavation forces can also be predicted based on Mohr-Coulomb Theory.

Bearing Capacity

     The bearing capacity is the ability of a soil to support a load, such as a structure or an astronaut, and depends on the load and the area of the footing.  Soil settlement can also be estimated.  According to (Heiken et al., 1991),  the ultimate bearing capacity is very high and therefore the lunar surface should be able to support any conceivable spacecraft or structure, although a complete understanding of lunar soil strength under higher stress conditions will be required.

Slope Stability

    Slope stability, as evidenced in the lunar missions, may be explainable by shear strength, Mohr-Coulomb theory and parameter values (although an improved equation is presented in (Heiken et al., 1991)). The deeper a cut, the less the angle can be of a stable slope (Figure 12).   According to Figure 12, an excavated slope can be vertical to a depth of 3 m, and in fact boreholes in the lunar surface remained with stable walls after the bit was removed.   However, when constructing a berm or embankment, either by dumping or dumping then compacting, the soil will not be as strong, so the maximum slope will be less than an excavated slope.  This occurs because the undisturbed soil is already in a highly packed (high density) state, but looses that and becomes more loosely packed when disturbed. 

Trafficability

    Trafficability is the capacity of a soil to provide sufficient traction.  From the Apollo mission and the LRV, wheeled vehicles were effective and were able to generate needed traction.  However the LRV was not carrying a heavy load, such as regolith from an excavation site.  On one instance the Apollo 15 LRV encountered soft soil and spun its wheels, so soft soil could be a problem in a heavily loaded vehicle or hauling a heavy load.  Bekker equations (Bekker, 1969) have been used to determine the sinkage, rolling resistance and forward thrust.  

http://upload.wikimedia.org/wikipedia/commons/b/b8/Footprint.gif

Figure 9.  The well-molded bootprint show the cohesiveness of the soil

Figure 10. This trench was dug by an Apollo 17 astronaut, showing a nearly vertical wall due to cohesion and frictional strength

Figure 11. Typical values of lunar soil cohesion and friction angle

Figure 12.  Vertical trench depth versus slope (e.g. a 3m deep trench can be dug with vertical walls with a FS=1.5)

 Much work has been done on mathematical and empirical modeling of soil excavation.  Blouin (Blouin, 2001) reviewed resistive force models for earth moving machines and for excavators like bucketwheels.   Willman and Boles (Willman & Boles, 1995) compared 3-D models to predict the force needed to fail lunar simulant with a flat blade.  Comparisons of different model simulations and experimental tests have discrepancies which are as yet unexplained.  Blouin stated that “there is yet no well-established validation procedure for models of cutting and excavation”.   A simple model proposed by Zheng (Zheng, 2007) follows from a free body diagram analysis of the soil in Figure 13, including blade force and shearing along a failure surface.  Zheng’s equations are easily programmed in Excel.  See the Appendix for an example calculation. 

Figure 13.  Figure showing important variables needed to model and analyze  soil excavation  (Zheng, 2007)

Regolith Simulants

Only about 300 kilograms of lunar soil was brought to the earth for analysis, so it is essentially unavailable to researchers for all but the most critical testing needs.  However processes (resource extraction) and engineering equipment that will be exposed to or use regolith on the moon must be tested and validated.   Hence there has been a significant effort to create simulants that mimic some of the chemical, geotechnical, engineering and/or physical properties.   Simulants are needed to test excavators, rovers, airlocks, earthmoving equipment, structures, dust removal techniques, space suits, etc.; these simulants should approach or match the geotechnical properties, such as the abrasive nature and particle size distribution of regolith.  Simulant used to evaluate a process for oxygen production needs to match regolith chemistry more so than geotechnical properties.

The first simulant for general use was JSC-1, and it was intended for engineering studies concerned with material handling, construction, excavation and transportation (McKay, 1994).   JSC-1 attempted to approximate the grain (particle) size distribution of lunar soils, using a volcanic ash that was repeatedly impacted to reduce particle size. Figure 13 shows a tumble test of fabric bags filled with JSC-1 and placed in a rotating drum for almost 1000 rotations, used to evaluate a fabric’s resistance to regolith abrasion (Smithers, 2007).  JSC-1 is now all used up, but new simulants JSC-1AF (with particles </= 50mm diameter), JSC-1AVF (with particles </= 20 mm diameter) and JSC-1AC (with particles 1mm to 5 mm diameter) have been created.   The simulant can be purchased from ORBITEC while the supply lasts. New simulants are being created to incorporate the iron droplets in the agglutinate, to be used to test microwave and magnetic susceptibility (Schrunk, 2008).

 

Slide53

Figure 13. Regolith bags filled with JSC-1 simulant, tumble tested to evaluate fabric resistance to regolith abrasion  (Smithers, 2007)

Summary of Lunar Resources

Here is a list of resources available and potential uses for a lunar base.  All these resources are in-situ, except for recycling.  Using resources from the moon to sustain a lunar base is called In-Situ Resource Utilization (ISRU). 

Resource: Regolith

· A source for oxygen for life support and fuel oxidizer

· Water-ice and/or hydrogen if present, from the dark polar craters

· Construction materials, such as

o   Concrete, with sulfur or epoxy cement + regolith aggregate

o   Melted then cast into blocks

o   Sintered into blocks, sintered roadways

o   Fiberglass, fiber mats

o   Cast glass, ceramics

·         Building material for habitats, garages, berms, landing pads, roadways.

·         Lava tubes for habitats and radiation shielding (if present)

·         Protection from radiation and as a thermal insulator

·         Raw material for solar cell and solar concentrators

·         For extraction of trace elements, such as C and N

·         Helium 3 for fusion power

Resources: Solar Radiation

·         Solar energy from solar cells and solar collectors

·         Temperature difference from shadow to sunlight for closed-cycle heat engine (e.g. Stirling engine)

Resource: Vacuum Atmosphere

·         A platform for scientific studies (e.g. astronomy, vacuum experiments and vacuum manufacturing)

Resource: Low Gravity

·         Material processing

Resources from Recycling of Earth-delivered Materials

·         Reuse and scavenging of propellants

·         Recycling of trash for polymers, methane, propellant, hydrogen extraction

·         Reuse of rocket canisters for habitats

References

Bekker, M. G. (1969). Introduction to Terrain-Vehicle Systems: University of Michigan.

Blouin, S., Hemami, A., Lipsett, M. (2001). Review of resistive force models for earthmoving processes. Journal of Aerospace Engineering, 14(3), 102-111.

Conley, P. L. (Ed.). (1998). Space Vehicle Mechanisms: Elements of a Successful Design: John Wiley & Sons.

Eckart, P. (1999). The Lunar Base Handbook: McGraw-Hill.

Elfer, N. C. (1996). Structural Damage Prediction and Analysis for Hypervelocity Impact Handbook. (NASA o. Document Number)

Gill, W., VandenBerg, G. (1968). Agriculture Handbook No. 316. Agricultural Research Service, US Department of Agriculture.

Heiken, G. H., Vaniman, D. T., & French, B. M. (Eds.). (1991). Lunar Sourcebook A User's Guide to the Moon: Cambridge University Press

Lunar and Planetary Institute, (2008). Lunar and Planetary Institute Website. from http://www.lpi.usra.edu/

McKay, D. S., Carter, J.L., Boles, W.W., Allen, C.C., Allton, J.H. (1994). A New Lunar Soil Simulant. Paper presented at the Engineering, Construction and Operations in Space IV.

Schrunk, D., Sharpe, B., Cooper, B., Thangavelu, M. (2008). The Moon: Resources, Future Development, and Settlement (Second ed.): Springer-Praxis.

Smithers, G. A., Nehls, M.K., Hovater, M.A., Evans, S.W., Miller, J.S., Broughton, R.M., Beale, D., Kilinc-Balci, F. (2007). A One-Piece Lunar Regolith Bag Garage Prototype (No. NASA/TM-2007-215073): NASA Center for AeroSpace Information

Jablonski, A.M. and Ogden, K.A., (2008) Technical Requirements for Lunar Structures, Journal of Aerospace Engineering, 21(2), 72-90

Tribble, A. C. (2003). The Space Environment: Implications for Spacecraft Design: Princeto Paperbacks.

Willman, B. M., & Boles, W. W. (1995). Soil-Tool Interaction Theories as They Apply to Lunar Soil Simulant. ASCE Journal of Aerospace Engineering, 8(2), 88-99.

Zheng, X., Burnoski, L., Agui, J., Wilkinson, A. (2007). Calculation of Excavation Force for ISRU on Lunar Surface. Paper presented at the 45th AIAA Aerospace Sciences Meeting and Exhibit.

 

DRAFT APPENDIX – SOIL AND ROVER FORCE CALCULATIONS

ROVER FORCE CALCULATIONS:

The calculations are to show the translational thrust available to a rover. 

Bekker Forward thrust equation (Bekker, 1969):

 

Ideal drawbar pull:

 

 

Table 1: Parameter Set Base: (SI Units) Used for Traction Calculations.

 

Values

Units

calculated slippage, S

8.301650852

%

scout rover mass, W

612

kg

internal friction angle, Φ

35

degrees

soil cohesion, c

170

N/m2

calculated wheel contact area, A

0.0399718978

m2

calculated wheel contact length, L

0.1884955592

m

number of wheels, n

6

 

shear deformation slip modulus, κ

0.018

m

 

 

Substituting:

 

 

or

 

The thrust, H, represents the thrust that will be used for blade calculations.  H is assumed to be the maximal constant force that the rover can apply.

SOIL FORCE CALCULATIONS:

Zeng Model (Zheng, 2007)

 

NOMENCLATURE



 

Figure AppII-1    Excavation blade and soil body at failure

 

Assumptions and Known:

 

 

 

Figure AppII-2    Forces Acting on the Blade

 Equations:

 The total excavation forces may be calculated using the following equations:

(1)        

(2)        

(3)        

**Note**:  is neglected because the cohesion component of the friction is small due to the small surface cohesion expected on the moon.

(4)        

(5)        

 

  

Figure App II-3    Failure Wedge in the soil in front of the blade

(9)        

 (12)      

(13)      

(14)      

**Note**: It is expected that the depth of the blade shall never exceed half of its  its length.

Graphical Results

Gill & Vanden Berg Model (Gill, 1968)

Note that the total force calculated (522.5) is in newtons.  This was then converted to pounds (1N = 4.448lb), giving a total force, T, of 117.5 pounds.

Figure AppII-4    Soil Forces on Bit

VARIABLE                                                UNITS

                                [m]

                                 [m]

                                     [m]

                        [kg/m3]

                                      [deg]

              [deg]

                   [deg]

                    [deg]

                                        [N/m2]

                                       [m/s]

                                [m/s2]

          [N/m]

                                     [N]

                                               [N]

                                          [N]

 

soil force calculations

Figure AppII-5    Force versus Tool Speed